【药物名称】
化学结构式(Chemical Structure):
参考文献No.563830
标题:Synthesis and evaluation of hydroxylated polyamine analogues as antiproliferatives
作者:Bergeron, R.J.; M黮ler, R.; Bussenieus, J.; McManis, J.S.; Merriman, R.L.; Smith, R.E.; Yao, H.; Weimar, W.R.
来源:J Med Chem 2000,43(2),224
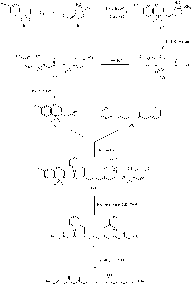
合成路线图解说明:

Alkylation of N-ethyl p-toluenesulfonamide (I) with (S)-4-(chloromethyl)-2,2-dimethyl-1,3-dioxolane (II) afforded the N,N-dialkylated tosylamide (III). Deprotection of ketal (III), followed by selective mono tosylation of the resulting diol (IV), yielded (V), which was cyclized to epoxide (VI) upon treatment with K2CO3 in MeOH. Epoxide ring opening with N,N'-dibenzyl-1,3-diaminopropane (VII) gave the fully protected tetraamine (VIII). Removal of the p-toluenesulfonyl groups of (VIII) was accomplished using sodium naphthalenide providing (IX). Finally, hydrogenolytic debenzylation of (IX) furnished the title tetraamine.

Drug Information Express,Drug R&D,Chemical Database,Patent Search.
Copyright © 2006-2026 Drug Future. All rights reserved.Contact Us