【药物名称】
化学结构式(Chemical Structure):
参考文献No.563162
标题:Synthesis and aldose reductase inhibitory activity of a new series of 5-[[2-(omega-carboxyalkoxy)aryl]methylene]-4-oxo-2-thioxothiazolidine derivatives
作者:Fujitani, B.; Mizuta, H.; Murata, M.
来源:Eur J Med Chem 1999,34(12),1061
合成路线图解说明:

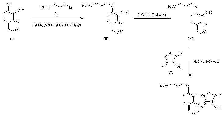
Alkylation of 2-hydroxy-1-naphthaldehyde (I) with ethyl 4-bromobutyrate (II) in the presence of K2CO3 and tris[2-(2-methoxyethoxy)ethyl]amine furnished the naph-thoxybutyrate ester (III), which was hydrolyzed to the corresponding carboxylic acid (IV) using NaOH in aqueous dioxan. Condensation of (IV) with N-methyl rhodanine (V) by means of NaOAc in refluxing AcOH gave rise to the title compound.

Drug Information Express,Drug R&D,Chemical Database,Patent Search.
Copyright © 2006-2026 Drug Future. All rights reserved.Contact Us