【药物名称】
化学结构式(Chemical Structure):
参考文献No.563158
标题:Preparation and local anaesthetic activity of benzotriazinone and benzoyltriazole derivatives
作者:Caliendo, G.; De Nucci, G.; Meli, R.; Mattace Raso, G.; Fiorino, F.; Perissutti, E.; Zanesco, A.; Grieco, P.; Santagada, V.
来源:Eur J Med Chem 1999,34(12),1043
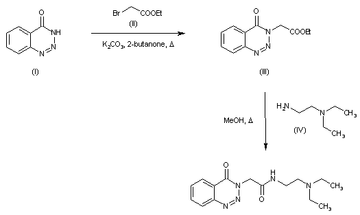
合成路线图解说明:

Condensation of 1,2,3-benzotriazin-4(3H)-one (I) with ethyl bromoacetate (II) in refluxing butanone afforded the 3-(ethoxycarbonylmethyl) derivative (III). The ethyl ester group of (III) was then converted into the target amide by reaction with N,N-diethylethylenediamine (IV) in hot MeOH

Drug Information Express,Drug R&D,Chemical Database,Patent Search.
Copyright © 2006-2026 Drug Future. All rights reserved.Contact Us