【药物名称】
化学结构式(Chemical Structure):
参考文献No.563159
标题:Depsides as non-redox inhibitors of leukotriene B4 biosynthesis and HaCaT cell growth. 1.Novel analogues of barbatic and diffractaic acid
作者:Kumar, S.; M黮ler, K.
来源:Eur J Med Chem 1999,34(12),1035
合成路线图解说明:

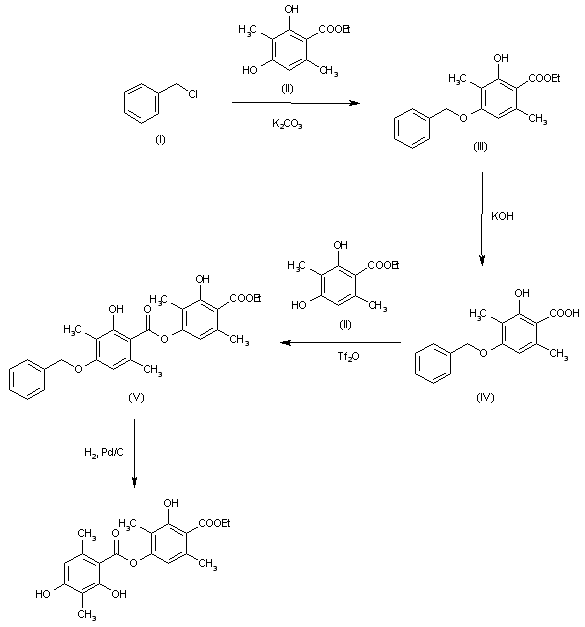
Ethyl ester (II) is alkylated with benzyl chloride (I) by means of K2CO3 in acetone to yield 4-benzyloxy derivative (III), which is then hydrolyzed with KOH in H2O/DMSO to provide carboxylic acid (IV). Depside formation between derivative (IV) and ethyl ester (II) by means of trifluoroacetic anhydride in toluene furnishes ethyl benzoate derivative (V), which is finally hydrogenated over Pd/C in AcOEt to yield the target product.

Drug Information Express,Drug R&D,Chemical Database,Patent Search.
Copyright © 2006-2026 Drug Future. All rights reserved.Contact Us