【药物名称】
化学结构式(Chemical Structure):
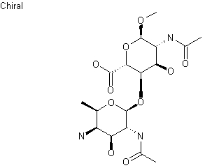
参考文献No.562777
标题:Synthesis of the repeating unit of the O-specific polysaccharide of Shigella sonnei and quantitation of its serologic activity
作者:T髏h, A.; Medgyes, A.; Bajza, I.; Liptak, A.; Batta, G.; Kontrohr, T.; Peterffy, K.; Pozsgay, V.
来源:Bioorg Med Chem Lett 2000,10(1),19
合成路线图解说明:

The altruronic acid derivative (III) was synthesized starting from the described glycoside (I). Reduction of the azido group of (III) by hydrogenation over Pd/C provided the corresponding amine (II), which was then acylated by means of trichloroacetyl chloride and triethylamine.

合成路线图解说明:

Hydrolysis of phthaloyl and acetyl groups of the galactose thioglycoside derivative (IV) by treatment with ethylenediamine afforded amine (V), which was subsequently converted to the trichloroacetamide (VI). Further acetylation of the hydroxyl group of (VI) employing Ac2O in pyridine produced the corresponding acetate ester (VII). Coupling of (VII) with the altruronic acid derivative (III) was carried out via activation of the thioglycoside by means of N-iodosuccinimide and triflic acid to furnish the fully protected disaccharide (VIII). Basic hydrolysis of the ester and amide groups of (VIII), followed by N-acetylation with Ac2O in MeOH yielded the diacetamido derivative (IX). Finally, hydrogenolytic cleavage of the O-benzyl group of (IX) with simultaneous azide reduction afforded the target disaccharide.

Drug Information Express,Drug R&D,Chemical Database,Patent Search.
Copyright © 2006-2026 Drug Future. All rights reserved.Contact Us