【药物名称】
化学结构式(Chemical Structure):
参考文献No.31850
标题:Isoxazoline and isoxazole derivs. as integrin receptor antagonists
作者:Voss, M.E.; Jadhav, P.K.; Smallheer, J.M.; Batt, D.G.; Pitts, W.J.; Wityak, J. (DuPont Pharmaceuticals Co.)
来源:EP 0828737; JP 1999506436; US 5710159; WO 9637492
合成路线图解说明:

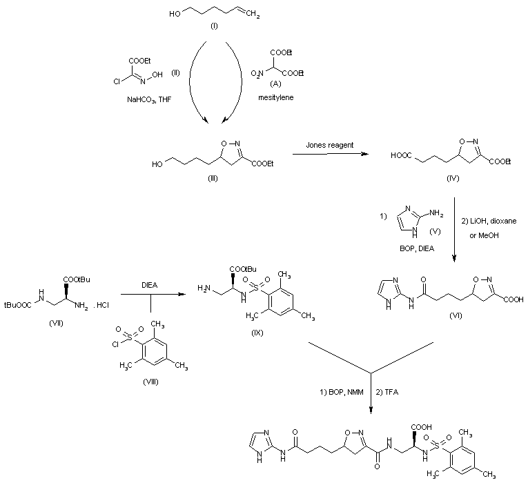
Cycloaddition of 5-hexen-1-ol (I) with (II) in presence of NaHCO3 yields isoxazoline (III). Alternatively (III) can be obtained by treatment of (I) with diethyl nitromalonate (A) in mesitylene. Isoxazoline (III) is then oxidized by means of Jones reagent to provide acid (IV) which is coupled in presence of BOP with the imidazole derivative (V) and hydrolyzed with LiOH affording derivative (VI). Acid (VI) is coupled with derivative (IX) (obtained by reaction of diaminopropionate (VII) with (VIII) in presence of DIEA) by means of BOP, and finally hydrolyzed to afford the desired product.

参考文献No.37479
标题:Heterocyclic integrin inhibitor prodrugs
作者:Jadhav, P.; Repta, A.J.; Pitts, W.J.; Hussain, M.A.; Batt, D.G. (DuPont Pharmaceuticals Co.)
来源:WO 9843962
合成路线图解说明:

Cycloaddition of 5-hexen-1-ol (I) with (II) in presence of NaHCO3 yields isoxazoline (III). Alternatively (III) can be obtained by treatment of (I) with diethyl nitromalonate (A) in mesitylene. Isoxazoline (III) is then oxidized by means of Jones reagent to provide acid (IV) which is coupled in presence of BOP with the imidazole derivative (V) and hydrolyzed with LiOH affording derivative (VI). Acid (VI) is coupled with derivative (IX) (obtained by reaction of diaminopropionate (VII) with (VIII) in presence of DIEA) by means of BOP, and finally hydrolyzed to afford the desired product.

参考文献No.562712
标题:Isoxazolines as potent antagonists of the integrin alphavbeta3
作者:Pitts, W.J.; Withyak, J.; Smallheer, J.M.; Tobin, A.E.; Jetter, J.W.; Buynitsky, J.S.; Harlow, P.P.; Solomon, K.A.; Corjay, M.H.; Mousa, S.A.; Wexler, R.R.; Jadhav, P.K.
来源:J Med Chem 2000,43(1),27
合成路线图解说明:

Cycloaddition of 5-hexen-1-ol (I) with (II) in presence of NaHCO3 yields isoxazoline (III). Alternatively (III) can be obtained by treatment of (I) with diethyl nitromalonate (A) in mesitylene. Isoxazoline (III) is then oxidized by means of Jones reagent to provide acid (IV) which is coupled in presence of BOP with the imidazole derivative (V) and hydrolyzed with LiOH affording derivative (VI). Acid (VI) is coupled with derivative (IX) (obtained by reaction of diaminopropionate (VII) with (VIII) in presence of DIEA) by means of BOP, and finally hydrolyzed to afford the desired product.

Drug Information Express,Drug R&D,Chemical Database,Patent Search.
Copyright © 2006-2026 Drug Future. All rights reserved.Contact Us