【药物名称】Fenclofenac, R-67408, Rx-67408
化学结构式(Chemical Structure):
参考文献No.47814
标题:Substituted 2-phenoxyphenylacetic acids
作者:Godfrey, K.E. (Reckitt & Colman Pharmaceuticals)
来源:DE 2117826; FR 2092044; GB 1308327; US 3766263
合成路线图解说明:

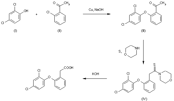
The reaction of 2,4-dichlorophenol (I) with 2-chloroacetophenone (II) by means of a copper catalyst and sodium hydroxide gives 2-(2,4-dichlorophenoxy)acetophenone (III), which is treated with sulfur in refluxing morpholine yielding 2-(2,4-dichlorophenoxy)phenylthioacetomorpholide (IV). Finally, this compound is hydrolyzed with KOH in refluxing methanol.

参考文献No.800682
标题:Fenclofenac
作者:Arrigoni-Martelli, E.; Casta馿r, J.
来源:Drugs Fut 1977,2(10),665
合成路线图解说明:

The reaction of 2,4-dichlorophenol (I) with 2-chloroacetophenone (II) by means of a copper catalyst and sodium hydroxide gives 2-(2,4-dichlorophenoxy)acetophenone (III), which is treated with sulfur in refluxing morpholine yielding 2-(2,4-dichlorophenoxy)phenylthioacetomorpholide (IV). Finally, this compound is hydrolyzed with KOH in refluxing methanol.

Drug Information Express,Drug R&D,Chemical Database,Patent Search.
Copyright © 2006-2026 Drug Future. All rights reserved.Contact Us