【药物名称】L-708906
化学结构式(Chemical Structure):
参考文献No.41397
标题:HIV integrase inhibitors
作者:Guare, J.P. Jr.; Jaen, J.; Tran, L.; Vacca, J.P.; Zhuang, L.; Egbertson, M.; Medina, J.C.; Melamed, J.; Clark, D.L.; Fisher, T.E.; Langford, M.; Wai, J.S.; Payne, L.S.; Embrey, M.W.; Young, S.D. (Merck & Co., Inc.; Tularik Inc.)
来源:WO 9962520
合成路线图解说明:

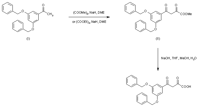
Claisen condensation of 3',5'-bis(benzyloxy)acetophenone (I) with dimethyl oxalate or diethyloxalate in the presence of NaH in refluxing DME yielded diketo ester (II). Basic hydrolysis of the methyl ester group of (I) then furnished the title carboxylic acid.

参考文献No.683802
标题:Structure activity of 3-aryl-1,3-diketo-containing compounds as HIV-1 integrase inhibitors
作者:Pais, G.C.G.; Zhang, X.; Marchand, C.; Neamati, N.; Cowansage, K.; Svarovskaia, E.S.; Pathak, V.K.; Tang, Y.; Nicklaus, M.; Pommier, Y.; Burke, T.R. Jr.
来源:J Med Chem 2002,45(15),3184
合成路线图解说明:

Claisen condensation of 3',5'-bis(benzyloxy)acetophenone (I) with dimethyl oxalate or diethyloxalate in the presence of NaH in refluxing DME yielded diketo ester (II). Basic hydrolysis of the methyl ester group of (I) then furnished the title carboxylic acid.

Drug Information Express,Drug R&D,Chemical Database,Patent Search.
Copyright © 2006-2026 Drug Future. All rights reserved.Contact Us