【药物名称】
化学结构式(Chemical Structure):
参考文献No.562474
标题:Exploration solid-phase synthesis of factor Xa inhibitors: Discovery and application of P3-heterocyclic amides as novel types of non-basic arginine surrogates
作者:Ho, J.Z.; Levy, O.E.; Gibson, T.S.; Nguyen, K.; Semple, J.E.
来源:Bioorg Med Chem Lett 1999,9(24),3459
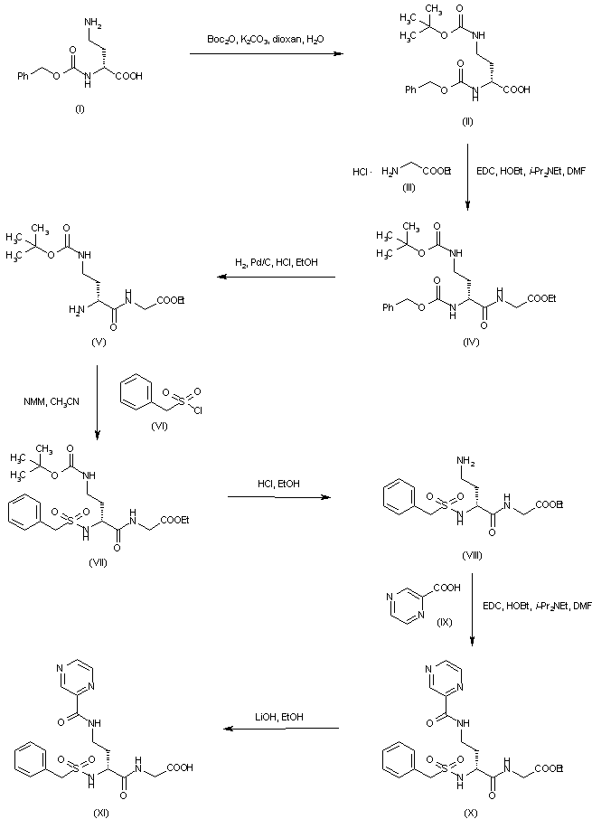
合成路线图解说明:

Nalpha-(Benzyloxycarbonyl)-1,4-diaminobutyric acid (I) was protected as the Nomega-Boc derivative (II) and then coupled to glycine ethyl ester (III) by means of EDC and HOBt to produce dipeptide (IV). Hydrogenolysis of the benzyloxycarbonyl group of (IV) to give (V), followed by condensation with alpha-toluenesulfonyl chloride (VI) gave sulfonamide (VII). Side-chain deprotection of (VII) with HCl liberated amine (VIII), which was acylated with 2-pyrazinecarboxylic acid (IX) to afford amide (X). Saponification of the ethyl ester of (X) with LiOH gave carboxylic acid (XI).

合成路线图解说明:

The carboxylic acid (XI) was coupled with Ngamma-Pmc-argininol (XII) giving (XIII). Deprotection of the Pmc group of (XIII) with trifluoroacetic acid provided the free guanidine (XIV). Finally, Swern oxidation of the primary alcohol of (XIV) with concomitant cyclization of the resulting aldehyde furnished the title compound.

Drug Information Express,Drug R&D,Chemical Database,Patent Search.
Copyright © 2006-2026 Drug Future. All rights reserved.Contact Us