【药物名称】Posizolid, AZD-2563
化学结构式(Chemical Structure):
参考文献No.41489
标题:Oxazolidinone derivs., process for their preparation and pharmaceutical compsns. containing them
作者:Gravestock, M.B. (AstraZeneca plc)
来源:EP 1082323; JP 2002517498; WO 9964417
合成路线图解说明:

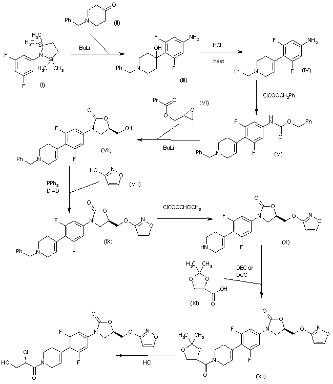
The condensation of the protected 3,5-difluoroaniline (I) with 1-benzyl-4-piperidone (II) by means of BuLi in THF gives 4-(1-benzyl-4-hydroxypiperidin-4-yl)-3,5-difluoroaniline (III), which is dehydrated with refluxing conc. HCl to yield the tetrahydropyridine (IV). The reaction of (IV) with benzyl chloroformate in acetone/water affords the carbamate (V), which is cyclized with (R)-glycidyl butyrate (VI) by means of BuLi in THF to provide the oxazolidinone (VII). The condensation of (VII) with isoxazol-3-ol (VIII) by means of PPh3 and DIAD in THF gives the expected ether adduct (IX), which is debenzylated by reaction with 1-chloroethyl chloroformate in dichloromethane, yielding the free tetrahydropyridine derivative (X). The condensation of (X) with (S)-2,3-O-isopropylideneglyceric acid (XI) by means of DEC or DCC and TEA in dichloromethane affords the corresponding acyl tetrahydropyridine (XII), which is finally deprotected with HCl in THF to provide the target dihydroxy compound.

参考文献No.52977
标题:Chemical processes and intermedies
作者:Gravestock, M.B.; Warren, K.E.H.; Ennis, D.S.; Currie, A.C.; Ainge, D. (AstraZeneca AB; AstraZeneca plc)
来源:WO 0140236
合成路线图解说明:

The condensation of the protected 3,5-difluoroaniline (I) with 1-benzyl-4-piperidone (II) by means of BuLi in THF gives 4-(1-benzyl-4-hydroxypiperidin-4-yl)-3,5-difluoroaniline (III), which is dehydrated with refluxing conc. HCl to yield the tetrahydropyridine (IV). The reaction of (IV) with benzyl chloroformate in acetone/water affords the carbamate (V), which is cyclized with (R)-glycidyl butyrate (VI) by means of BuLi in THF to provide the oxazolidinone (VII). The condensation of (VII) with isoxazol-3-ol (VIII) by means of PPh3 and DIAD in THF gives the expected ether adduct (IX), which is debenzylated by reaction with 1-chloroethyl chloroformate in dichloromethane, yielding the free tetrahydropyridine derivative (X). The condensation of (X) with (S)-2,3-O-isopropylideneglyceric acid (XI) by means of DEC or DCC and TEA in dichloromethane affords the corresponding acyl tetrahydropyridine (XII), which is finally deprotected with HCl in THF to provide the target dihydroxy compound.

Drug Information Express,Drug R&D,Chemical Database,Patent Search.
Copyright © 2006-2026 Drug Future. All rights reserved.Contact Us