【药物名称】ABH
化学结构式(Chemical Structure):
参考文献No.563058
标题:Inhibition of Mn2+2-arginase by borate leads to the design of a transition state analogue inhibitor, 2(S)-amino-6-boronohexanoic acid
作者:Ash, D.E.; Carroll, P.J.; Baggio, R.; Cavalli, R.C.; Christianson, D.W.; Kanyo, Z.F.; Elbaum, D.
来源:J Am Chem Soc 1997,119(34),8107
合成路线图解说明:

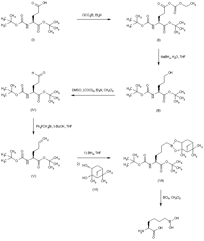
The protected glutamic acid (I) is converted to the mixed anhydride (II) using ethyl chloroformate, and subsequently reduced to alcohol (III) by means of NaBH4. Swern oxidation of (III) provides aldehyde (IV), which is subjected to a Wittig condensation with triphenyl methylenephosphorane to afford olefin (V). Hydroboration of (V), followed by reaction with (+)-pinanediol (VI) leads to the boronate (VII). Finally, complete deprotection of (VII) with BCl3 yields the desired boronic acid.

参考文献No.713663
标题:Synthesis and evaluation of omega-borono-alpha-amino acids as active-site probes of arginase and nitric oxide synthases
作者:Collet, S.; et al.
来源:J Chem Soc - Perkins Trans I 2000,(2),177
合成路线图解说明:

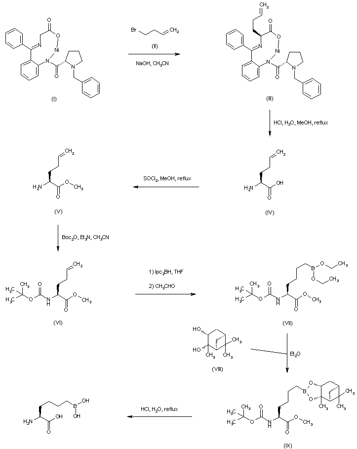
The enantioselective alkylation of the nickel complex (I) of the Schiff base derived from glycine and (S)-2-[N'-(N-benzylprolyl)amino]benzophenone with 4-bromo-1-butene (II) affords the corresponding complex (III) of (S)-2-amino-5-hexenoic acid, which is subsequently hydrolyzed to the free aminoacid (IV) under mild acidic conditions. Esterification of (IV) by means of SOCl2 in methanol leads to amino ester (V), and further protection with di-tert-butyl dicarbonate provides the N-Boc derivative (VI). Hydroboration of the double bond of (VI) with diisopinocampheylborane, followed by in situ oxidation with acetaldehyde gives rise to the diethyl boronate (VII). This is then converted to the isolable pinanediol boronate (IX) upon treatment with (+)-pinanediol (VIII). Finally, total deprotection of (IX) by refluxing with 12 M HCl furnishes the title compound.

Drug Information Express,Drug R&D,Chemical Database,Patent Search.
Copyright © 2006-2026 Drug Future. All rights reserved.Contact Us