【药物名称】
化学结构式(Chemical Structure):
参考文献No.561818
标题:Novel, potent, semisynthetic antimalarial carba analogues of the first-generation 1,2,4-trioxane artemether
作者:O'Neill, P.M.; Searle, N.L.; Kan, K.W.; Storr, R.C.; Maggs, J.L.; Ward, S.A.; Raynes, K.; Park, K.
来源:J Med Chem 1999,42(26),5487
合成路线图解说明:

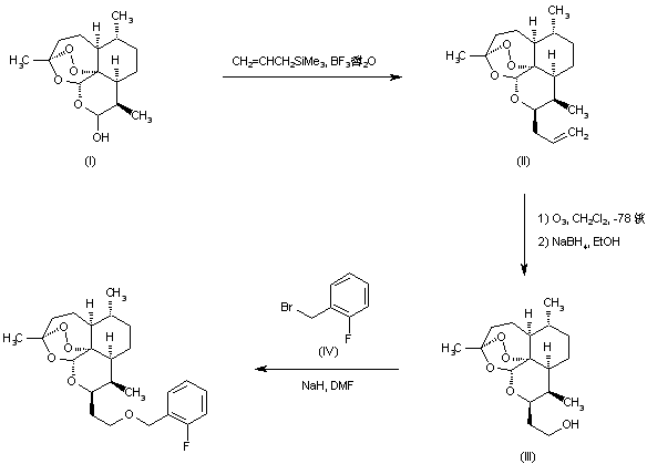
Coupling of dihydroartemisinin (I) with allyl trimethylsilane in the presence of boron trifluoride etherate gave the 10beta-allyl deoxo derivative (II). Subsequent ozonization of the allyl double bond of (II), followed by reductive treatment with NaBH4, provided alcohol (III). Finally, alkylation of (III) with 2-fluorobenzyl bromide (IV) in the presence of NaH furnished the corresponding 2-fluorobenzyl ether.

Drug Information Express,Drug R&D,Chemical Database,Patent Search.
Copyright © 2006-2026 Drug Future. All rights reserved.Contact Us