【药物名称】
化学结构式(Chemical Structure):
参考文献No.41591
标题:4-Aminotetrahydrobenzisoxazole or -isothiazole cpds.
作者:Falch, E.; Moltzen, L.S.; Schousboe, A.; Frolund, B.; Perregaard, J.K.; Krogsgaard-Larsen, P. (H. Lundbeck A/S)
来源:WO 9626929
合成路线图解说明:

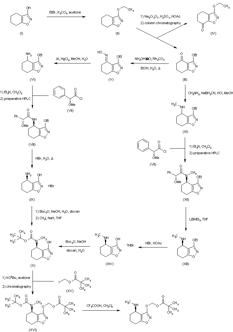
Alkylation of 4,5,6,7-tetrahydro-1,2-benzisoxazol-3-ol (I) with ethyl bromide in the presence of K2CO3 afforded the ethoxy derivative (II). Subsequent oxidation of (II) with sodium dichromate and H2SO4 provided the desired ketone (III) along with minor amounts of the isomeric 7-oxo compound (IV) that were separated by column chromatography. Conversion of (III) to the corresponding oxime (V), followed by reduction with aluminum amalgam yielded amine (VI). Resolution was achieved via formation of the diastereomeric amides with (R)-alpha-methoxyphenylacetyl chloride (VII) and isolation of the desired isomer (VIII) by preparative HPLC. Cleavage of amide and ether groups of (VIII) by means of HBr furnished (R)-4-amino-3-hydroxy-4,5,6,7-tetrahydro-1,2-benzisoxazole (IX). Protection as the corresponding tert-butyl carbamate, followed by N-methylation with CH3I and NaH provided intermediate (X). An alternative procedure for the preparation of intermediate (X) consisted in the reductive amination of ketone (III) with methylamine and NaBH3CN, followed by condensation of the resulting amine (XI) with the chiral acid chloride (VII) and chromatographic isolation of the desired diastereoisomer (XII). The alpha-methoxyphenylacetyl group of (XII) was then removed by an alternative method consisting in the treatment with lithium triethylborohydride to give the chiral amine (XIII). Cleavage of the ethyl ether group of (XIII) was effected by means of HBr in AcOH, and the resulting compound (XIV) was condensed with di-tert-butyl dicarbonate to produce carbamate (X). Subsequent reaction of (X) with pivaloyloxymethyl iodide (XV) in the presence of potassium tert-butoxide yielded the target O-alkylated compound (XVI) along with some N-alkylated regioisomer. The Boc protecting group of (XVI) was finally removed by treatment with trifluoroacetic acid.

参考文献No.561812
标题:Selective inhibitors of glial GABA uptake: Synthesis, absolute stereochemistry, and pharmacology of the enantiomers of 3-hydroxy-4-amino-4,5,6,7-tetrahydro-1,2-benzisoxazole (exo-THPO) and analogues
作者:Falch, E.; Perregaard, J.; Frolund, B.; Slkilde, B.; Buur, A.; Hansen, L.M.; Frydenvang, K.; Brehm, L.; Bolvig, T.; Larsson, O.M.; Sanchez, C.; White, H.S.; Schousboe, A.; Krogsgaard-Larsen, P.
来源:J Med Chem 1999,42(26),5402
合成路线图解说明:

Alkylation of 4,5,6,7-tetrahydro-1,2-benzisoxazol-3-ol (I) with ethyl bromide in the presence of K2CO3 afforded the ethoxy derivative (II). Subsequent oxidation of (II) with sodium dichromate and H2SO4 provided the desired ketone (III) along with minor amounts of the isomeric 7-oxo compound (IV) that were separated by column chromatography. Conversion of (III) to the corresponding oxime (V), followed by reduction with aluminum amalgam yielded amine (VI). Resolution was achieved via formation of the diastereomeric amides with (R)-alpha-methoxyphenylacetyl chloride (VII) and isolation of the desired isomer (VIII) by preparative HPLC. Cleavage of amide and ether groups of (VIII) by means of HBr furnished (R)-4-amino-3-hydroxy-4,5,6,7-tetrahydro-1,2-benzisoxazole (IX). Protection as the corresponding tert-butyl carbamate, followed by N-methylation with CH3I and NaH provided intermediate (X). An alternative procedure for the preparation of intermediate (X) consisted in the reductive amination of ketone (III) with methylamine and NaBH3CN, followed by condensation of the resulting amine (XI) with the chiral acid chloride (VII) and chromatographic isolation of the desired diastereoisomer (XII). The alpha-methoxyphenylacetyl group of (XII) was then removed by an alternative method consisting in the treatment with lithium triethylborohydride to give the chiral amine (XIII). Cleavage of the ethyl ether group of (XIII) was effected by means of HBr in AcOH, and the resulting compound (XIV) was condensed with di-tert-butyl dicarbonate to produce carbamate (X). Subsequent reaction of (X) with pivaloyloxymethyl iodide (XV) in the presence of potassium tert-butoxide yielded the target O-alkylated compound (XVI) along with some N-alkylated regioisomer. The Boc protecting group of (XVI) was finally removed by treatment with trifluoroacetic acid.

Drug Information Express,Drug R&D,Chemical Database,Patent Search.
Copyright © 2006-2026 Drug Future. All rights reserved.Contact Us