【药物名称】GW-432042
化学结构式(Chemical Structure):
参考文献No.41404
标题:Nitric oxide synthase inhibitors
作者:Beswick, P.J.; Young, R.J.; Kleanthous, S. (Glaxo Group Ltd.)
来源:EP 1084104; WO 9962875
合成路线图解说明:

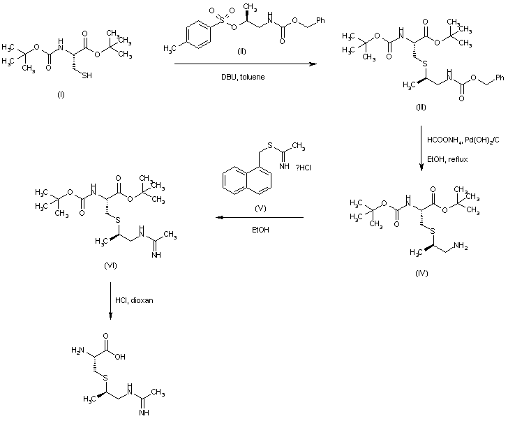
Alkylation of N-Boc-L-cysteine tert-butyl ester (I) with the chiral tosylate (II) gave thioether (III). The N-benzyloxycarbonyl protecting group of (III) was then cleaved by transfer hydrogenolysis using ammonium formate in the presence of Pearlman's catalyst to afford amine (IV). Condensation of this amine with the thioacetimidate (V) gave rise to amidine (VI). The N-Boc and tert-butyl ester protecting groups of (VI) were finally removed by treatment with a solution of HCl in dioxan.

参考文献No.629923
标题:Inhibition of inducible nitric oxide synthase by acetamidine derivatives of branched hetero-substituted lysine analogs
作者:Young, R.J.; et al.
来源:222nd ACS Natl Meet (Aug 26 2001, Chicago) 2001,Abst MEDI 250
合成路线图解说明:

Alkylation of N-Boc-L-cysteine tert-butyl ester (I) with the chiral tosylate (II) gave thioether (III). The N-benzyloxycarbonyl protecting group of (III) was then cleaved by transfer hydrogenolysis using ammonium formate in the presence of Pearlman's catalyst to afford amine (IV). Condensation of this amine with the thioacetimidate (V) gave rise to amidine (VI). The N-Boc and tert-butyl ester protecting groups of (VI) were finally removed by treatment with a solution of HCl in dioxan.

Drug Information Express,Drug R&D,Chemical Database,Patent Search.
Copyright © 2006-2026 Drug Future. All rights reserved.Contact Us