【药物名称】S-24718
化学结构式(Chemical Structure):
参考文献No.41415
标题:Novel 8-amino-1,4-benzoxazine cpds., preparation method and pharmaceutical compsns. containing them
作者:Largeron, M.; Lestage, P.; Fleury, M.B.; Lockhart, B. (ADIR et Cie.)
来源:FR 2779144; WO 9962889
合成路线图解说明:

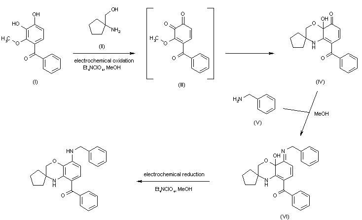
The electrochemical oxidation of 3,4-dihydroxy-2-methoxybenzophenone (I) in the presence of (1-aminocyclopentyl)methanol (II) using tetraethylammonium perchlorate as the supporting electrolyte led to the formation of a transient ortho-quinone (III), which, by intramolecular ring closure with amino alcohol (II), gave rise to the benzoxazinone (IV). Subsequent condensation of (IV) with benzylamine (V) produced the Schiff base (VI). This was finally converted to the title compound by electrochemical reduction.

参考文献No.636070
标题:Synthesis and in vitro evaluation of new-8-amino-1,4-benzoxazine derivatives as neuroprotective antioxidants
作者:Largeron, M.; Lockhart, B.; Pfeiffer, B.; Fleury, M.B.
来源:J Med Chem 1999,42(24),5043
合成路线图解说明:

The electrochemical oxidation of 3,4-dihydroxy-2-methoxybenzophenone (I) in the presence of (1-aminocyclopentyl)methanol (II) using tetraethylammonium perchlorate as the supporting electrolyte led to the formation of a transient ortho-quinone (III), which, by intramolecular ring closure with amino alcohol (II), gave rise to the benzoxazinone (IV). Subsequent condensation of (IV) with benzylamine (V) produced the Schiff base (VI). This was finally converted to the title compound by electrochemical reduction.

Drug Information Express,Drug R&D,Chemical Database,Patent Search.
Copyright © 2006-2026 Drug Future. All rights reserved.Contact Us