【药物名称】L-731988
化学结构式(Chemical Structure):
参考文献No.41394
标题:HIV integrase inhibitors
作者:Selnick, H.G.; Hazuda, D.J.; Egbertson, M.; Guare, J.P. Jr.; Clark, D.L.; Wai, J.S.; Young, S.D.; Medina, J.C. (Merck & Co., Inc.; Tularik Inc.)
来源:WO 9962513
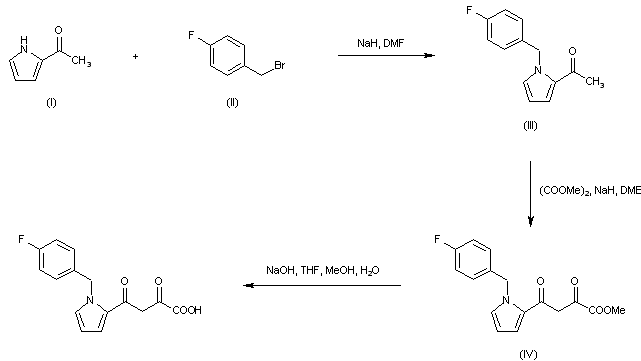
合成路线图解说明:

The alkylation of 2-acetylpyrrole (I) with 4-fluorobenzyl bromide (II) in the presence of NaH provided the N-benzyl indole (III). Subsequent Claisen condensation of (III) with dimethyl oxalate furnished diketo ester (IV), which was finally hydrolyzed with NaOH to the title carboxylic acid.

Drug Information Express,Drug R&D,Chemical Database,Patent Search.
Copyright © 2006-2026 Drug Future. All rights reserved.Contact Us