【药物名称】CP-547632
化学结构式(Chemical Structure):
参考文献No.41416
标题:Isothiazole derivs. useful as anticancer agents
作者:Larson, E.R.; Noe, M.C.; Gant, T.G. (Pfizer Inc.)
来源:EP 1084114; JP 2002517384; US 6235764; WO 9962890
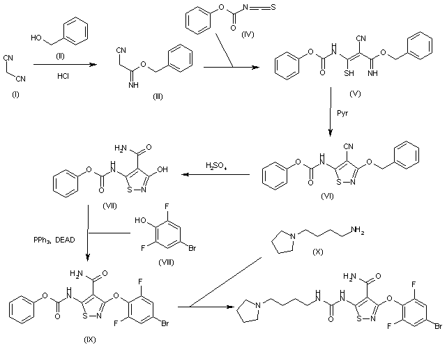
合成路线图解说明:

The reaction of malononitrile (I) with benzyl alcohol (II) and HCl in ethyl ether gives 2-cyanoacetimidic acid benzyl ester (III), which is condensed with phenoxycarbonyl isothiocyanate (IV) to yield 2-cyano-3-mercapto-3-(phenoxycarbonylamino)acrylimidic acid benzyl ester (V). Compound (V) is cyclized by means of pyridine and Br2 in acetonitrile to afford the isothiazole derivative (VI). The reaction of (VI) with conc. H2SO4 provides the isothiazole carboxamide (VII), which is condensed with 4-bromo-2,6-difluorophenol (VIII) by means of PPh3 and DEAD in THF to give the aromatic ether (IX). Finally, the carbamic ester group of (IX) is treated with 4-(1-pyrrolidinyl)butylamine (X) to yield the target urea derivative.

Drug Information Express,Drug R&D,Chemical Database,Patent Search.
Copyright © 2006-2026 Drug Future. All rights reserved.Contact Us