【药物名称】
化学结构式(Chemical Structure):
参考文献No.34436
标题:Azetidine, pyrrolidine and piperidine derivs.
作者:Baker, R.; Bourrain, S.; Castro Pineiro, J.L.; Chambers, M.S.; Guiblin, A.R.; Hobbs, S.C.; Jelley, R.A.; Madin, A.; Matassa, V.G.; Reeve, A.J.; Russell, M.G.N.; Showell, G.A.; Sternfeld, F.; Street, L.J.; Van Niel, M.B. (Merck Sharp & Dohme Ltd.)
来源:EP 0804434; JP 1998503768; US 5854268; WO 9604274
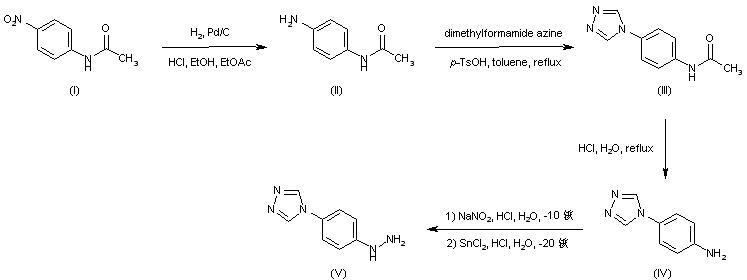
合成路线图解说明:

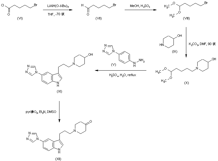
Catalytic hydrogenation of 4-nitroacetanilide (I) afforded aniline (II), which was condensed with N,N-dimethylformamide azine to produce the triazolyl derivative (III). Acid hydrolysis of the acetamido group gave rise to amine (IV). Then, diazotization, followed by stannous chloride reduction of the diazonium salt, furnished the intermediate hydrazine (V).

合成路线图解说明:

5-Bromovaleryl chloride (VI) was reduced to aldehyde (VII) by means of lithium tri-tert-butoxyaluminumhydride at -78 C and subsequently converted into the dimethyl acetal (VIII) with H2SO4 in methanol (1). Alkylation of 4-hydroxypiperidine (IX) with bromoacetal (VIII) gave adduct (X). This was subjected to Fisher indolization with the hydrazine (V), yielding indole (XI). The piperidine hydroxyl group was then oxidized to the corresponding ketone (XII) using sulfur trioxide-pyridine complex in DMSO.

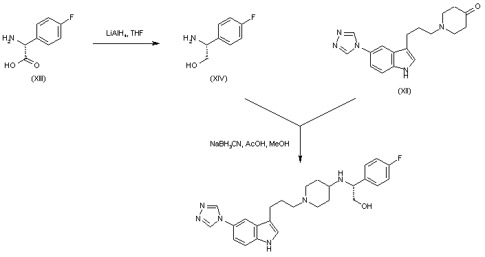
合成路线图解说明:

The chiral amino alcohol (XIV) was obtained by reduction of (R)-(4-fluorophenyl)glycine (XIII) with LiAlH4. Finally, reductive condensation of amino alcohol (XIII) with piperidinone (XII) provided the title compound.

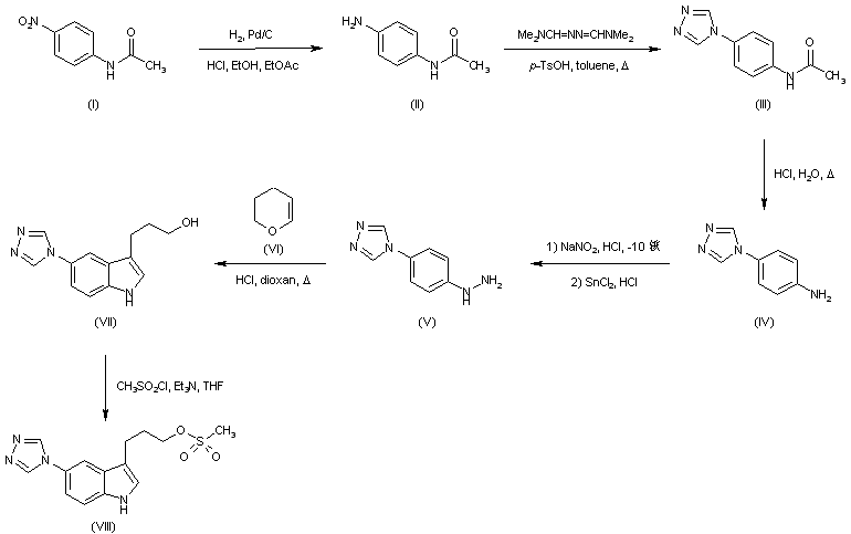
合成路线图解说明:

Hydrogenation of p-nitroacetanilide (I) over Pd/C afforded p-aminoacetanilide (II), which was converted to triazolylacetanilide (III) upon treatment with N,N-dimethylformamide azine and p-toluenesulfonic acid. Acid hydrolysis of the acetamide (III) provided triazolylaniline (IV). Subsequent diazotization of (IV), followed by SnCl2 reduction of the diazonium salt furnished hydrazine (V). Fischer indole synthesis employing (V) and dihydropyran (VI) gave rise to the indolylpropanol (VII), which was converted to the intermediate mesylate (VIII) using CH3SO2Cl and Et3N.

合成路线图解说明:

An alternative procedure for the synthesis of indolylpropanol (VII) is depicted as follows: alkylation of 2-trimethylsilyl-1,3-dithiane (IX) with bromide (X) employing n-butyllithium in cold THF afforded (XI). Subsequent hydrolysis of the thioacetal group of (XI) by means of HgO/HgCl2 provided acylsilane (XII). Iodoaniline (XIII) was prepared by iodination of p-triazolylaniline (IV) with iodine monochloride. Condensation of iodoaniline (XIII) with acylsilane (XII) in the presence of Pd(OAc)2 produced the silylated indole (XIV). Then acid treatment of (XIV) removed both silyl groups to give (VII).

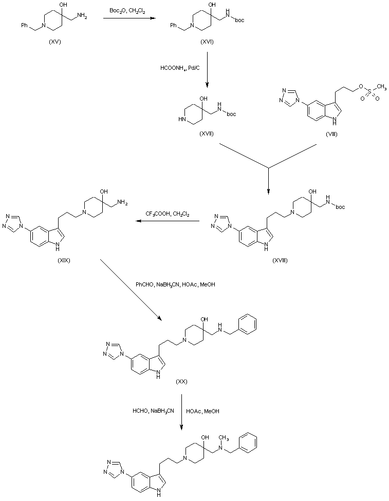
合成路线图解说明:

4-(Aminomethyl)-1-benzyl-4-hydroxypiperidine (XV) was protected as the tert-butyl carbamate (XVI) and the benzyl group was subsequently cleaved by transfer hydrogenolysis employing ammonium formate and Pd/C yielding (XVII). Condensation of piperidine (XVII) with mesylate (VIII) in the presence of K2CO3 in boiling isopropanol furnished adduct (XVIII). After deprotection of the Boc group of (XVIII) with trifluoroacetic acid, reductive alkylation of the resulting amine (XIX) with benzaldehyde in the presence of NaBH3CN provided the N-benzyl amine (XX). Finally, a further reductive alkylation of (XX) with formaldehyde and NaBH3CN yielded the title compound.

参考文献No.39667
标题:Palladium catalyzed indolization
作者:Chen, C.-Y.; Larsen, R.D. (Merck & Co., Inc.)
来源:US 5808064; WO 9806725
合成路线图解说明:

An alternative process consisted in the palladium-catalyzed condensation of iodoaniline (VIII) with the acyl silane (XV), to produce the 2-silyl indole (XVI). Then, acid desilylation of (XVI), followed by treatment with oxalic acid yielded the title compound.

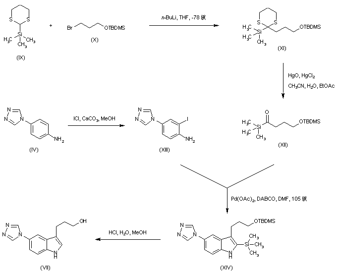
合成路线图解说明:

An alternative procedure for the synthesis of indolylpropanol (VII) is depicted as follows: alkylation of 2-trimethylsilyl-1,3-dithiane (IX) with bromide (X) employing n-butyllithium in cold THF afforded (XI). Subsequent hydrolysis of the thioacetal group of (XI) by means of HgO/HgCl2 provided acylsilane (XII). Iodoaniline (XIII) was prepared by iodination of p-triazolylaniline (IV) with iodine monochloride. Condensation of iodoaniline (XIII) with acylsilane (XII) in the presence of Pd(OAc)2 produced the silylated indole (XIV). Then acid treatment of (XIV) removed both silyl groups to give (VII).

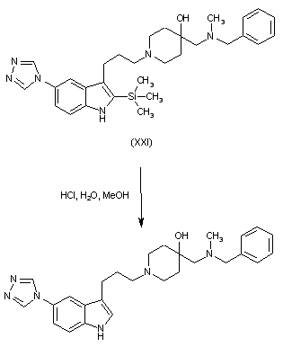
合成路线图解说明:

In an alternative method, the title compound was obtained by desilylation of the 2-silylindole precursor (XXI).

参考文献No.561800
标题:4-Hydroxy-1-[3-(5-(1,2,4-triazol-4-yl)-1H-indol-3-yl)propyl]piperidines: Selective h5-HT1D agonists for the treatment of migraine
作者:Bourrain, S.; Neduvelil, J.G.; Beer, M.S.; Stanton, J.A.; Showell, G.A.; MacLeod, A.M.
来源:Bioorg Med Chem Lett 1999,9(23),3369
合成路线图解说明:

Hydrogenation of p-nitroacetanilide (I) over Pd/C afforded p-aminoacetanilide (II), which was converted to triazolylacetanilide (III) upon treatment with N,N-dimethylformamide azine and p-toluenesulfonic acid. Acid hydrolysis of the acetamide (III) provided triazolylaniline (IV). Subsequent diazotization of (IV), followed by SnCl2 reduction of the diazonium salt furnished hydrazine (V). Fischer indole synthesis employing (V) and dihydropyran (VI) gave rise to the indolylpropanol (VII), which was converted to the intermediate mesylate (VIII) using CH3SO2Cl and Et3N.

合成路线图解说明:

4-(Aminomethyl)-1-benzyl-4-hydroxypiperidine (XV) was protected as the tert-butyl carbamate (XVI) and the benzyl group was subsequently cleaved by transfer hydrogenolysis employing ammonium formate and Pd/C yielding (XVII). Condensation of piperidine (XVII) with mesylate (VIII) in the presence of K2CO3 in boiling isopropanol furnished adduct (XVIII). After deprotection of the Boc group of (XVIII) with trifluoroacetic acid, reductive alkylation of the resulting amine (XIX) with benzaldehyde in the presence of NaBH3CN provided the N-benzyl amine (XX). Finally, a further reductive alkylation of (XX) with formaldehyde and NaBH3CN yielded the title compound.

Drug Information Express,Drug R&D,Chemical Database,Patent Search.
Copyright © 2006-2026 Drug Future. All rights reserved.Contact Us