【药物名称】
化学结构式(Chemical Structure):
参考文献No.482595
标题:Synthesis and biological properties of new 2beta-alkyl- and 2beta-aryl-3-(substituted phenyl)tropane derivatives: Stereochemical effect of C-3 on affinity and selectivity for neuronal dopamine and serotonin transporters
作者:Kozikowski, A.P.; Araldi, G.L.; Prakash, K.R.; Zhang, M.; Johnson, K.M.
来源:J Med Chem 1998,41(25),4973
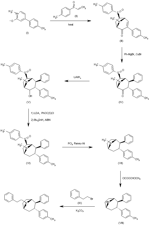
合成路线图解说明:

Dipolar cycloaddition of hydroxypyridinium betaine (I) with R-(+)-p-tolyl vinyl sulfoxide (II) furnished the chiral tropenone (III). Subsequent copper-catalyzed conjugate addition of phenyl-magnesium bromide on the beta-face of (III) provided the trans diaryltropanone (IV). Then, ketone reduction of (IV) with LiAlH4 gave alcohol (V), which was condensed with phenyl thionochloroformate (VI) to afford thiocarbonate (VII). This was reduced with tributyltin hydride and azobis(isobutyronitrile) to produce tropane (VIII). The sulfoxide group of (VIII) was further reduced to sulfide (IX) with PCl3 in DMF. Finally, Raney Nickel-promoted desulfurization in boiling EtOH yielded the title compound.

合成路线图解说明:

The cycloaddition of the oxidopyridinium (I) with p-tolyl(vinyl)sulfoxide (II) in refluxing dioxane gives the tropenone derivative (III), which is treated with phenylmagnesium bromide and CuBr in THF yielding the diaryl tropanone derivative (IV). The reduction of (IV) with LiAlH4 in THF affords the corresponding alcohol (V), which is deoxigenated by reaction first with O-phenyl chlorothioformate and then with tributyltin hydride and AIBN in hot toluene to provide the diaryltropane (VI). The elimination of the sulfoxide group of (VI) with PCl3 and Raney-Ni in refluxing ethanol gives the diaryl tropane (VII) (1), which is submitted to N-demethylation with alpha-chloroethyl chloroformate and proton sponge in refluxing dichloroethane yielding the intermediate (VIII), which is finally N-alkylated with 2-phenylethyl bromide (IX) and K2CO3 in DMF.

参考文献No.561805
标题:N-Phenylalkyl-substituted tropane analogs of boat conformation with high selectivity for the dopamine versus serotonin transporter
作者:Prakash, K.R.C.; Tamiz, A.P.; Araldi, G.L.; Zhang, M.; Johnson, K.M.; Kozikowski, A.P.
来源:Bioorg Med Chem Lett 1999,9(23),3325
合成路线图解说明:

The cycloaddition of the oxidopyridinium (I) with p-tolyl(vinyl)sulfoxide (II) in refluxing dioxane gives the tropenone derivative (III), which is treated with phenylmagnesium bromide and CuBr in THF yielding the diaryl tropanone derivative (IV). The reduction of (IV) with LiAlH4 in THF affords the corresponding alcohol (V), which is deoxigenated by reaction first with O-phenyl chlorothioformate and then with tributyltin hydride and AIBN in hot toluene to provide the diaryltropane (VI). The elimination of the sulfoxide group of (VI) with PCl3 and Raney-Ni in refluxing ethanol gives the diaryl tropane (VII) (1), which is submitted to N-demethylation with alpha-chloroethyl chloroformate and proton sponge in refluxing dichloroethane yielding the intermediate (VIII), which is finally N-alkylated with 2-phenylethyl bromide (IX) and K2CO3 in DMF.

Drug Information Express,Drug R&D,Chemical Database,Patent Search.
Copyright © 2006-2026 Drug Future. All rights reserved.Contact Us