【药物名称】SAL-V-11
化学结构式(Chemical Structure):
参考文献No.561801
标题:Synthesis, dopamine and serotonin transporter binding affinities of novel analogues of meperidine
作者:Lomenzo, S.A.; Izenwasser, S.; Gerdes, R.M.; katz, J.L.; Kopajtic, T.; Trudell, M.L.
来源:Bioorg Med Chem Lett 1999,9(23),3273
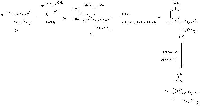
合成路线图解说明:

Dialkylation of 2-aryl acetonitrile (I) with bromoacetaldehyde dimethyl acetal (II) by means of NaNH2 in toluene provides diacetal (III), which is cyclized to cyanopiperidine derivative (IV) by first hydrolysis of the acetal groups with HCl, followed by reductive amination with methylamine in the presence of NaBH3CN in MeOH. Finally, the target product is obtained by hydrolysis of the nitrile group of (IV) with aqueous H2SO4, followed by esterification performed by heating with EtOH.

Drug Information Express,Drug R&D,Chemical Database,Patent Search.
Copyright © 2006-2026 Drug Future. All rights reserved.Contact Us