【药物名称】
化学结构式(Chemical Structure):
参考文献No.41677
标题:Anticonvulsant enantiomeric amino acid derivs.
作者:Kohn, H.; Andurkar, S.V. (Research Corporation Technologies, Inc.)
来源:US 6048899; WO 0000463
合成路线图解说明:

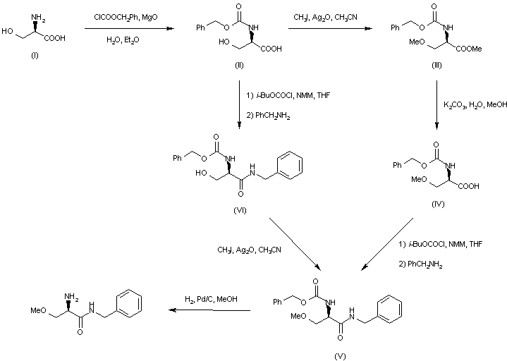
D-Serine (I) was protected as the N-benzyloxycarbonyl derivative (II) by means of benzyl chloroformate in the presence of MgO. Methylation of the alcohol hydroxyl of (II) under Williamson conditions using iodomethane and Ag2O also produced esterification of the carboxyl group to give (III), which was further hydrolyzed to carboxylic acid (IV) with K2CO3 in MeOH-H2O. After activation of (IV) as the mixed anhydride with isobutyl chloroformate, coupling with benzyl amine furnished amide (V). This was alternatively obtained through a related procedure involving coupling of N-Cbz-serine (II) with benzylamine, followed by O-methylation of the resulting hydroxy amide (VI) with iodomethane and Ag2O. Finally, the N-carbobenzoxy protecting group of (V) was removed by catalytic hydrogenolysis in the presence of Pd/C.

参考文献No.552143
标题:Synthesis and anticonvulsant activities of (R)-(O)-methylserine derivatives
作者:Andurkar, S.V.; et al.
来源:Tetrahedron Asymmetry 1998,9(21),3841
合成路线图解说明:

D-Serine (I) was protected as the N-benzyloxycarbonyl derivative (II) by means of benzyl chloroformate in the presence of MgO. Methylation of the alcohol hydroxyl of (II) under Williamson conditions using iodomethane and Ag2O also produced esterification of the carboxyl group to give (III), which was further hydrolyzed to carboxylic acid (IV) with K2CO3 in MeOH-H2O. After activation of (IV) as the mixed anhydride with isobutyl chloroformate, coupling with benzyl amine furnished amide (V). This was alternatively obtained through a related procedure involving coupling of N-Cbz-serine (II) with benzylamine, followed by O-methylation of the resulting hydroxy amide (VI) with iodomethane and Ag2O. Finally, the N-carbobenzoxy protecting group of (V) was removed by catalytic hydrogenolysis in the presence of Pd/C.

Drug Information Express,Drug R&D,Chemical Database,Patent Search.
Copyright © 2006-2026 Drug Future. All rights reserved.Contact Us