【药物名称】
化学结构式(Chemical Structure):
参考文献No.561277
标题:Benzodiazepine receptor (BZR) ligands.5. New 3-alkyloxycarbonyl-, 3-cyclo-alkyloxycarbonyl-, 3-aryloxy-carbonylderivatives of pyrazolo [5,1-c][1,2,4]benzotriazine 5-oxides: A study on the 3-ester function modification
作者:Costa, B.; Ciciani, G.; Costanzo, A.; Ipponi, A.; Martini, C.; Bruni, F.; Guerrini, G.; Selleri, S.; Lucacchini, A.; Aiello, M.
来源:Med Chem Res 1999,9(5),322
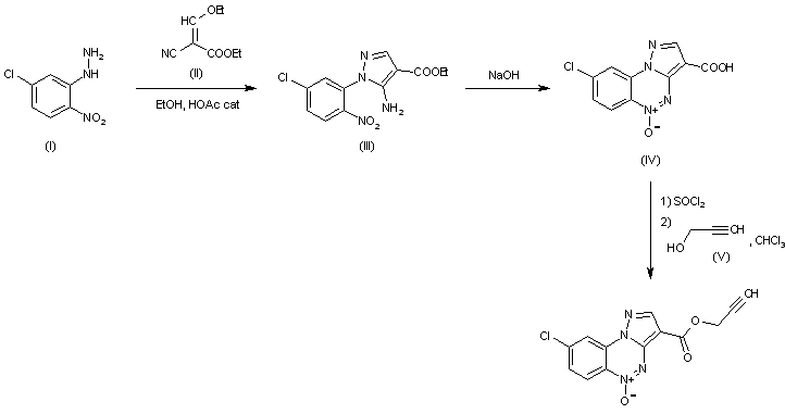
合成路线图解说明:

Reaction of 2-nitro-5-chlorophenylhidrazyne (I) with ethyl 2-cyano-3-ethoxypropenoate (II) in EtOH and catalytic HOAc affords derivative (III), which is simultaneously hydrolyzed and cyclized to the triazine system (IV) in aqueous NaOH. Treatment of (IV) with SOCl2 followed by addition of alcohol (V) in chloroform allows obtention of the desired product.

合成路线图解说明:

Reaction of 2-nitro-5-chlorophenylhidrazyne (I) with ethyl 2-cyano-3-ethoxypropenoate (II) in EtOH and catalytic AcOH affords derivative (III), which is simultaneously hydrolyzed and cyclized to the triazine system (IV) in aqueous NaOH. Treatment of (IV) with SOCl2, followed by addition of alcohol (V) in chloroform, allows obtention of the desired product.

参考文献No.606190
标题:Reactivity of 1-(2-nitrophenyl)-5-aminopyrazoles under basic conditions and synthesis of new 3,7 and 8-substituted pyrazole[5,1-c][1,2,4]benzotriazine 5-oxides, as benzodiazepine receptor ligands
作者:Costanzo, A.; et al.
来源:J Heterocycl Chem 1994,311369
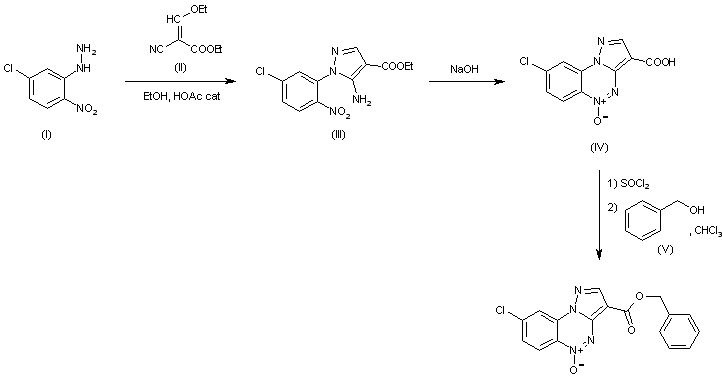
合成路线图解说明:

Reaction of 2-nitro-5-chlorophenylhidrazyne (I) with ethyl 2-cyano-3-ethoxypropenoate (II) in EtOH and catalytic HOAc affords derivative (III), which is simultaneously hydrolyzed and cyclized to the triazine system (IV) in aqueous NaOH. Treatment of (IV) with SOCl2 followed by addition of alcohol (V) in chloroform allows obtention of the desired product.

合成路线图解说明:

Reaction of 2-nitro-5-chlorophenylhidrazyne (I) with ethyl 2-cyano-3-ethoxypropenoate (II) in EtOH and catalytic AcOH affords derivative (III), which is simultaneously hydrolyzed and cyclized to the triazine system (IV) in aqueous NaOH. Treatment of (IV) with SOCl2, followed by addition of alcohol (V) in chloroform, allows obtention of the desired product.

Drug Information Express,Drug R&D,Chemical Database,Patent Search.
Copyright © 2006-2026 Drug Future. All rights reserved.Contact Us