【药物名称】REN-1189, CPI-1189
化学结构式(Chemical Structure):
参考文献No.40556
标题:Benzamides for neurodegenerative disorder treatment
作者:Garland, W.A.; Wilcox, A.L.; Paylor, R.E.; Flitter, W.D. (Centaur Pharmaceuticals, Inc.)
来源:US 5955506; WO 9631462
合成路线图解说明:

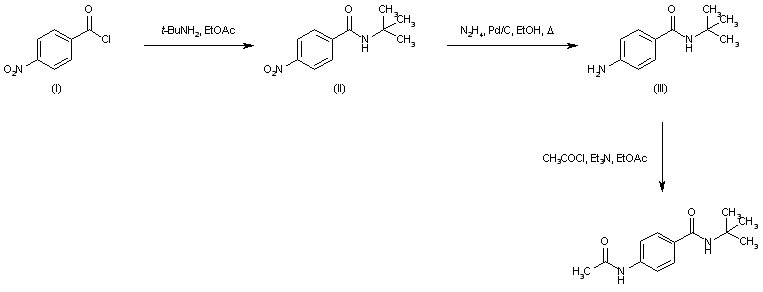
4-Nitrobenzoyl chloride (I) was condensed with tert-butyl amine to give amide (II). The nitro group of (II) was then reduced to aniline (III) by transfer hydrogenation with hydrazine and Pd/C. Finally, acylation of (III) with acetyl chloride provided the title acetamide.

参考文献No.41293
标题:Benzamide therapeutics for the treatment of inflammatory bowel disease
作者:Flitter, W.D.; Irwin, I.; Garland, W.A. (Centaur Pharmaceuticals, Inc.)
来源:WO 9959569
合成路线图解说明:

4-Nitrobenzoyl chloride (I) was condensed with tert-butyl amine to give amide (II). The nitro group of (II) was then reduced to aniline (III) by transfer hydrogenation with hydrazine and Pd/C. Finally, acylation of (III) with acetyl chloride provided the title acetamide.

参考文献No.50577
标题:Benzamide treatment of dementia, associated with AIDS virus (HIV-1) infection
作者:Garland, W. (Centaur Pharmaceuticals, Inc.)
来源:WO 9738684
合成路线图解说明:

4-Nitrobenzoyl chloride (I) was condensed with tert-butyl amine to give amide (II). The nitro group of (II) was then reduced to aniline (III) by transfer hydrogenation with hydrazine and Pd/C. Finally, acylation of (III) with acetyl chloride provided the title acetamide.

参考文献No.630511
标题:CPI-1189
作者:Sorbera, L.A.; Casta馿r, J.; Leeson, P.A.
来源:Drugs Fut 2001,26(7),647
合成路线图解说明:

4-Nitrobenzoyl chloride (I) was condensed with tert-butyl amine to give amide (II). The nitro group of (II) was then reduced to aniline (III) by transfer hydrogenation with hydrazine and Pd/C. Finally, acylation of (III) with acetyl chloride provided the title acetamide.

Drug Information Express,Drug R&D,Chemical Database,Patent Search.
Copyright © 2006-2026 Drug Future. All rights reserved.Contact Us