【药物名称】
化学结构式(Chemical Structure):
参考文献No.561132
标题:Synthesis and biological activity of N-(aminoiminomethyl)-1H-indole carboxamide derivatives as Na+/H+ exchanger inhibitors
作者:Kitano, M.; Kojima, A.; Nakano, K.; Miyagishi, A.; Noguchi, T.; Ohashi, N.
来源:Chem Pharm Bull 1999,47(11),1538
合成路线图解说明:

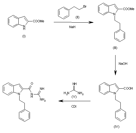
The alkylation of 1H-indole-2-carboxylic acid methyl ester (I) with 2-phenylethyl bromide (II) by means of NaH in DMF gives 1-(2-phenylethyl)-1H-indole-2-carboxylic acid methyl ester (II), with is hydrolyzed with NaOH in methanol/water yielding the corresponding free acid (IV). Finally, this compound is condensed with guanidine by means of CDI and TEA in THF/DMF.

Drug Information Express,Drug R&D,Chemical Database,Patent Search.
Copyright © 2006-2026 Drug Future. All rights reserved.Contact Us