【药物名称】
化学结构式(Chemical Structure):
参考文献No.43459
标题:Cysteine amides as farnesyl transferase inhibitors
作者:Grabley, S.; Thiericke, R.; Sattler, I. (Hans Kn鰈l Institute for Natural Product Research)
来源:DE 19851714; WO 0027803
合成路线图解说明:

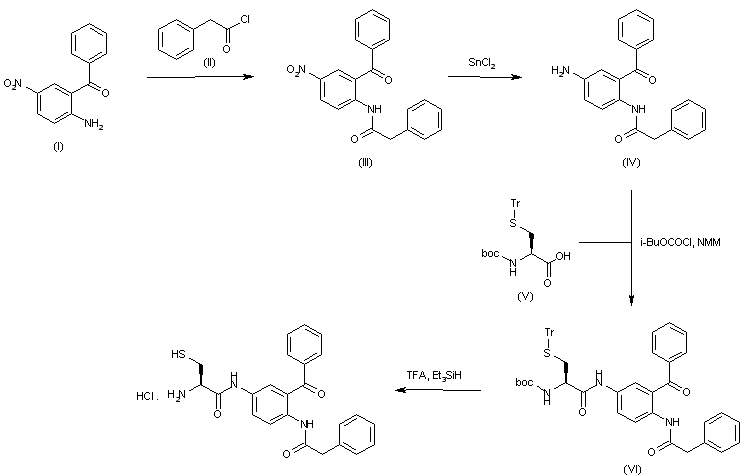
Acylation of 2-amino-5-nitrobenzophenone (I) with phenylacetic acid chloride (II) in refluxing toluene yields derivative (III), whose nitro group is reduced by means of SnCl2 in refluxing EtOAc to afford amine (IV). Coupling of (IV) with protected cysteine (V) by means of isobutyl chloroformate and N-methylmorpholine (NMM) in DMF provides protected derivative (VI), which is finally treated with TFA and Et3SiH in CH2Cl2 to furnish the target compound.

参考文献No.561023
标题:Different amino acid replacement in CAAX-tetrapeptide based peptidomimetic farnesyltransferase inhibitors
作者:Schlitzer, M.; et al.
来源:Archiv der Pharmazie 1999,332(4),124
合成路线图解说明:

Acylation of 2-amino-5-nitrobenzophenone (I) with phenylacetic acid chloride (II) in refluxing toluene yields derivative (III), whose nitro group is reduced by means of SnCl2 in refluxing EtOAc to afford amine (IV). Coupling of (IV) with protected cysteine (V) by means of isobutyl chloroformate and N-methylmorpholine (NMM) in DMF provides protected derivative (VI), which is finally treated with TFA and Et3SiH in CH2Cl2 to furnish the target compound.

Drug Information Express,Drug R&D,Chemical Database,Patent Search.
Copyright © 2006-2026 Drug Future. All rights reserved.Contact Us