【药物名称】
化学结构式(Chemical Structure):
参考文献No.41340
标题:Bicyclic pyrimidines and bicyclic 3,4-dihydropyrimidines as inhibitors of cellular proliferation
作者:Dobrusin, E.M.; Showalter, H.D.H.; Schroeder, M.C.; Toogood, P.; Kramer, J.B.; Trumpp-Kallmeyer, S.A.; Hamby, J.M. (Pfizer Inc.)
来源:WO 9961444
合成路线图解说明:

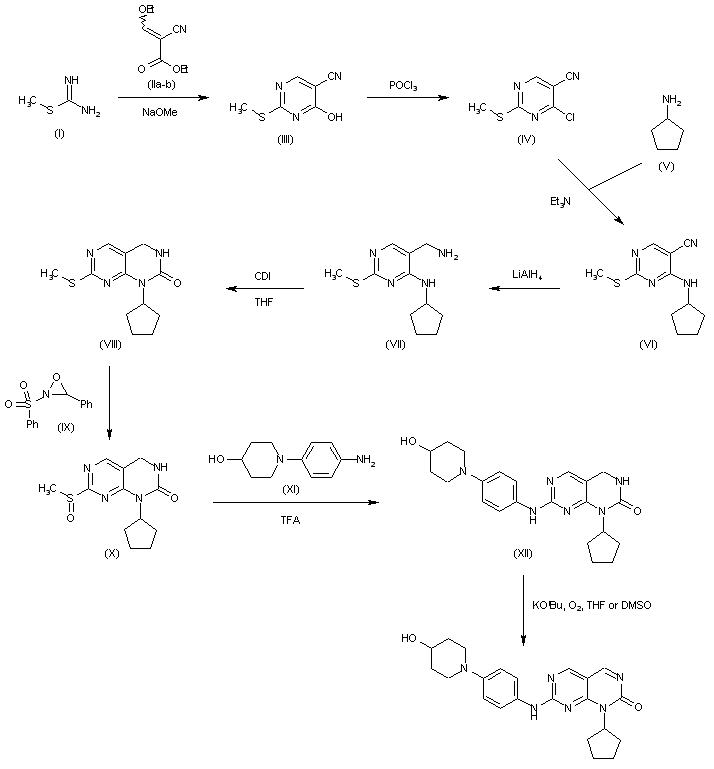
Condensation of S-methylisothiourea (I) and cyano acetate derivative (II) by means of NaOMe in MeOH affords pyrimidine derivative (III), whose hydroxy group is converted into chloro by means of refluxing POCl3, yielding derivative (IV). Alkylation of (IV) with cyclopentylamine (V) and Et3N in CH2Cl2 provides derivative (VI), whose nitrile group is then reduced by means of LiAlH4 in THF to afford aminomethyl compound (VII). Treatment of (VII) with 1,1-carbonyldiimidazole (CDI) in refluxing THF gives pyrimidopyrimidinone (VIII), whose methylsulfanyl group is oxidized with 3-phenyl-2-(phenylsulfonyl)oxaziridine (IX) in CHCl3 to afford methyl sulfoxide derivative (X). Displacement of the methyl sulfoxide group of (X) with substituted aniline (XI) in TFA/acetonitrile yields 3,4-dihydropyrimidopyrimidinone (XII), which is finally oxidized by means of KOtBu in THF or DMSO.

参考文献No.572986
标题:Synthesis and biological activity of a novel series of pyrimidopyrimidinones as inhibitors of cyclin-dependent kinases
作者:Kramer, J.B.; et al.
来源:219th ACS Natl Meet (March 26 2000, San Francisco) 2000,Abst MEDI 40
合成路线图解说明:

Condensation of S-methylisothiourea (I) and cyano acetate derivative (II) by means of NaOMe in MeOH affords pyrimidine derivative (III), whose hydroxy group is converted into chloro by means of refluxing POCl3, yielding derivative (IV). Alkylation of (IV) with cyclopentylamine (V) and Et3N in CH2Cl2 provides derivative (VI), whose nitrile group is then reduced by means of LiAlH4 in THF to afford aminomethyl compound (VII). Treatment of (VII) with 1,1-carbonyldiimidazole (CDI) in refluxing THF gives pyrimidopyrimidinone (VIII), whose methylsulfanyl group is oxidized with 3-phenyl-2-(phenylsulfonyl)oxaziridine (IX) in CHCl3 to afford methyl sulfoxide derivative (X). Displacement of the methyl sulfoxide group of (X) with substituted aniline (XI) in TFA/acetonitrile yields 3,4-dihydropyrimidopyrimidinone (XII), which is finally oxidized by means of KOtBu in THF or DMSO.

Drug Information Express,Drug R&D,Chemical Database,Patent Search.
Copyright © 2006-2026 Drug Future. All rights reserved.Contact Us