【药物名称】
化学结构式(Chemical Structure):
参考文献No.372524
标题:Structure-activity relationship of novel distamycin a derivatives: Synthesis and antitumor activity
作者:D'Alessio, R.; et al.
来源:Bioorg Med Chem Lett 1994,4(12),1467
合成路线图解说明:

The acylation of N-deformyldistamycin (I) with 4-formamido-1-methyl-1H-pyrrole-2-carboxylic acid (II) by means of carbonyldiimidazole (CDI) in DMF gives the tetrapyrrole (III), which is deformylated as usual to yield the aminotetrapyrrole (IV). The condensation of the pyrrolobenzodiazepin-8-yloxypropionic acid (V) with the tetrapyrrole derivative (IV) by means of EDC and DIEA in DMF gives the troc protected target molecule (III), which is finally treated with Cd/Pb in aqueous NH4OAc. The synthesis of the intermediate pyrrolobenzodiazepin-8-yloxypropionic acid (I) has already been described in scheme2700821a, corresponding to the synthesis of the compound with EN 270082.

参考文献No.560988
标题:Synthesis, in vitro antiproliferative activity, and DNA-binding properties of hybrid molecules containing pyrrolo[2,1-c][1,4]benzodiazepine and minor-groove-binding oligopyrrole carriers
作者:Baraldi, P.G.; Balboni, G.; Cacciari, B.; Guiotto, A.; Manfredini, S.; Romagnoli, R.; Spalluto, G.; Thurston, D.E.; Howard, P.W.; Bianchi, N.; Rutigliano, C.; Mischiati, C.; Gambari, R.
来源:J Med Chem 1999,42(25),5131
合成路线图解说明:

Reaction of vanillic acid (I) with 3-bromopropanol gave ether (II). Subsequent nitration of (II) with simultaneous oxidation of the primary alcohol employing nitric acid afforded the nitro diacid (IV), which by chemoselective esterification in the presence of a catalytic amount of p-toluenesulfonic acid yielded monoester (IV). After conversion of (IV) to the acid chloride upon treatment with oxalyl chloride, coupling with (S)-2-(hydroxymethyl)pyrrolidine (V) gave amide (VI). Catalytic hydrogenation of the nitro group of (VI), followed by protection of the intermediate aniline with 2,2,2-trichloroethyl chloroformate provided carbamate (VII). Further Swern oxidation of the alcohol group of (VII) with concomitant cyclization generated the pyrrolobenzodiazepine (VIII). The methyl ester of (VIII) was then hydrolyzed to carboxylic acid (IX).

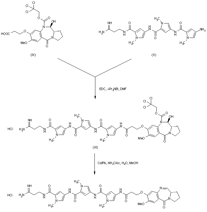
合成路线图解说明:

The coupling of (IX) with deformyl distamycin (X) using 1-(3-dimethylaminopropyl)-3-ethylcarbodiimide as the condensing reagent to yield amide (XI). Finally, deprotection of the trichloroethyl carbamate of (XI) with Cd/Pb couple in aqueous NH4OAc furnished the target compound.

合成路线图解说明:

The acylation of N-deformyldistamycin (I) with 4-formamido-1-methyl-1H-pyrrole-2-carboxylic acid (II) by means of carbonyldiimidazole (CDI) in DMF gives the tetrapyrrole (III), which is deformylated as usual to yield the aminotetrapyrrole (IV). The condensation of the pyrrolobenzodiazepin-8-yloxypropionic acid (V) with the tetrapyrrole derivative (IV) by means of EDC and DIEA in DMF gives the troc protected target molecule (III), which is finally treated with Cd/Pb in aqueous NH4OAc. The synthesis of the intermediate pyrrolobenzodiazepin-8-yloxypropionic acid (I) has already been described in scheme2700821a, corresponding to the synthesis of the compound with EN 270082.

Drug Information Express,Drug R&D,Chemical Database,Patent Search.
Copyright © 2006-2026 Drug Future. All rights reserved.Contact Us