【药物名称】MCL-101
化学结构式(Chemical Structure):
参考文献No.42195
标题:N-Cyclopropylmethyl- and -cyclobutylmethyl-morphinans
作者:Gates, M.D. Jr.
来源:US 3285922
合成路线图解说明:

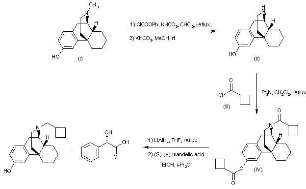
The N-dealkylation of levorphanol (I) by means of phenyl chloroformate gave rise to (-)-3-hydroxymorphinan (II). This was then condensed with cyclobutanecarbonyl chloride (III) to afford the diacyl derivative (IV). The reduction of the amide group of (IV), with concomitant ester cleavage, by means of LiAlH4 furnished the desired compound, which was finally isolated as the mandelate salt.

参考文献No.562719
标题:Synthesis and opioid receptor affinity of morphinan and benzomorphan derivatives: Mixed kappa agonists and mu agonists/antagonists as potential pharmacotherapeutics for cocaine dependence
作者:Neumeyer, J.L.; Bidlack, J.M.; Zong, R.; Bakthavachalam, V.; Gao, P.; Cohen, D.J.; Negus, S.S.; Mello, N.K.
来源:J Med Chem 2000,43(1),114
合成路线图解说明:

The N-dealkylation of levorphanol (I) by means of phenyl chloroformate gave rise to (-)-3-hydroxymorphinan (II). This was then condensed with cyclobutanecarbonyl chloride (III) to afford the diacyl derivative (IV). The reduction of the amide group of (IV), with concomitant ester cleavage, by means of LiAlH4 furnished the desired compound, which was finally isolated as the mandelate salt.

Drug Information Express,Drug R&D,Chemical Database,Patent Search.
Copyright © 2006-2026 Drug Future. All rights reserved.Contact Us