【药物名称】Quinoxapeptin C
化学结构式(Chemical Structure):
参考文献No.560063
标题:Total synthesis and comparative evaluation of luzopeptin A - C and quinoxapeptin A - C
作者:Ledeboer, M.W.; Jin, Q.; Kume, M.; Searcey, M.; Boger, D.L.
来源:J Am Chem Soc 1999,121(49),11375
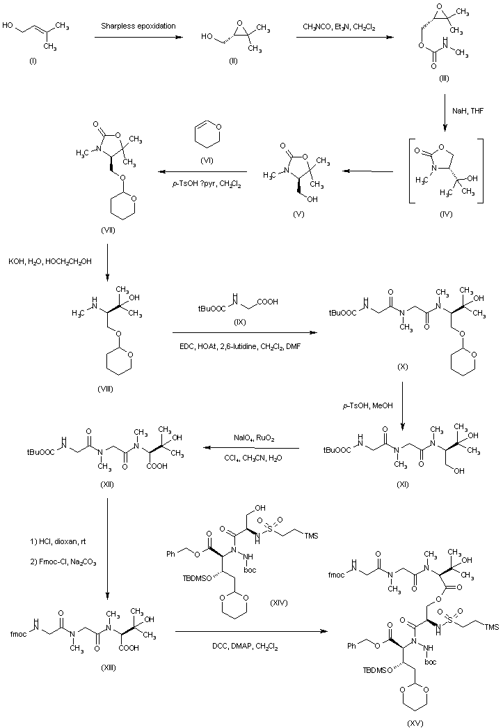
合成路线图解说明:

Sharpless epoxidation of 3-methyl-2-buten-1-ol (I) using L-(+)-diisopropyl tartrate provided the (2S)-epoxide (II). Treatment of (II) with methyl isocyanate gave the corresponding carbamate (III). Subsequent base-catalyzed epoxide opening generated oxazolidinone (IV), which smoothly rearranged to the more stable isomer (V) under the reaction conditions. Protection of the primary alcohol of (V) as the tetrahydropyranyl ether (VII) was followed by hydrolysis of the carbamate group with KOH in aqueous ethylene glycol at 150 C. The resulting amine (VIII) was coupled with Boc-glycyl-sarcosine (IX) using EDC and HOAt to furnish amide (X). Acid-catalyzed removal of the tetrahydropyranyl group of (X) gave alcohol (XI), which was oxidized to carboxylic acid (XII) by means of RuO2-NaIO4. Exchange of the Boc protecting group for a Fmoc group in (XII) was effected by acid cleavage of the tert-butyl carbamate, followed by treatment with Fmoc-chloride. Esterification of the the resulting acid (XIII) with the functionalized dipeptide (XIV) was achieved with DCC-DMAP to produce (XV).

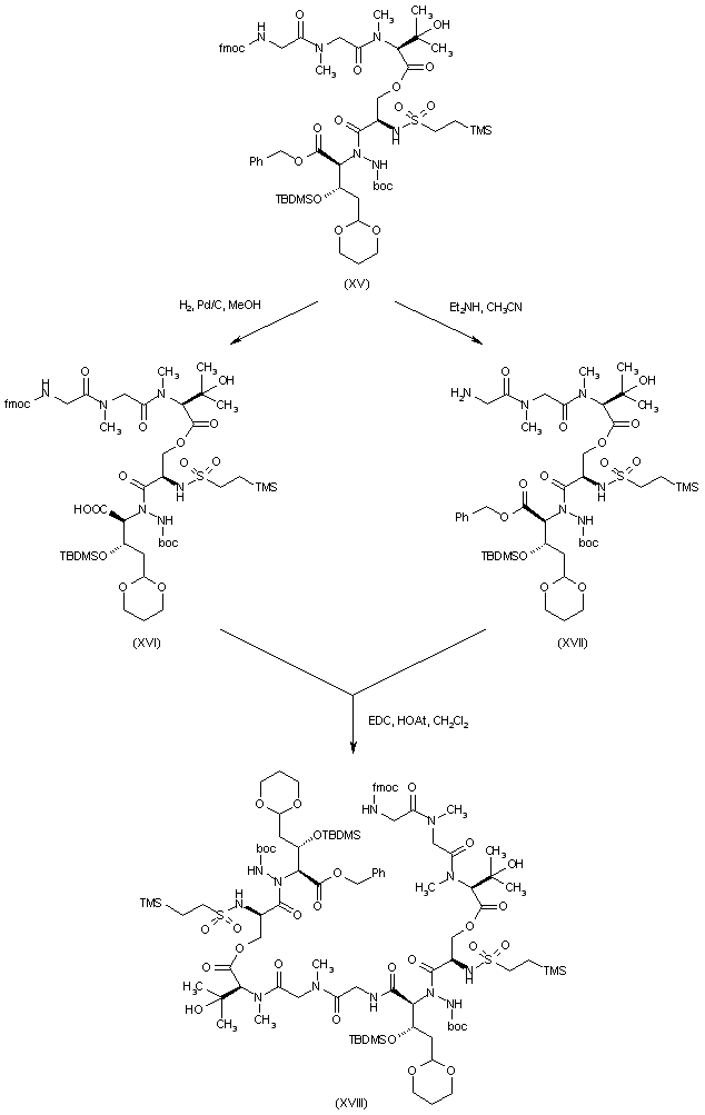
合成路线图解说明:

Deprotection of the benzyl ester of (XV) by catalytic hydrogenation over Pd/C afforded acid (XVI). On the other hand, deprotection of the Fmoc group of (XV) with diethylamine gave rise to amine (XVII). Coupling of both building blocks (XVI) and (XVII) was mediated by EDC and HOAt, providing the linear decadepsipeptide (XVIII).

合成路线图解说明:

The remaining Fmoc and the benzyl ester groups of (XVIII) were simulta-neously cleaved by transfer hydrogenolysis with ammonium formate and Pd/C to give amino acid (XIX), which was further converted to the cyclic depsipeptide (XX) upon treatment with EDC and HOAt.

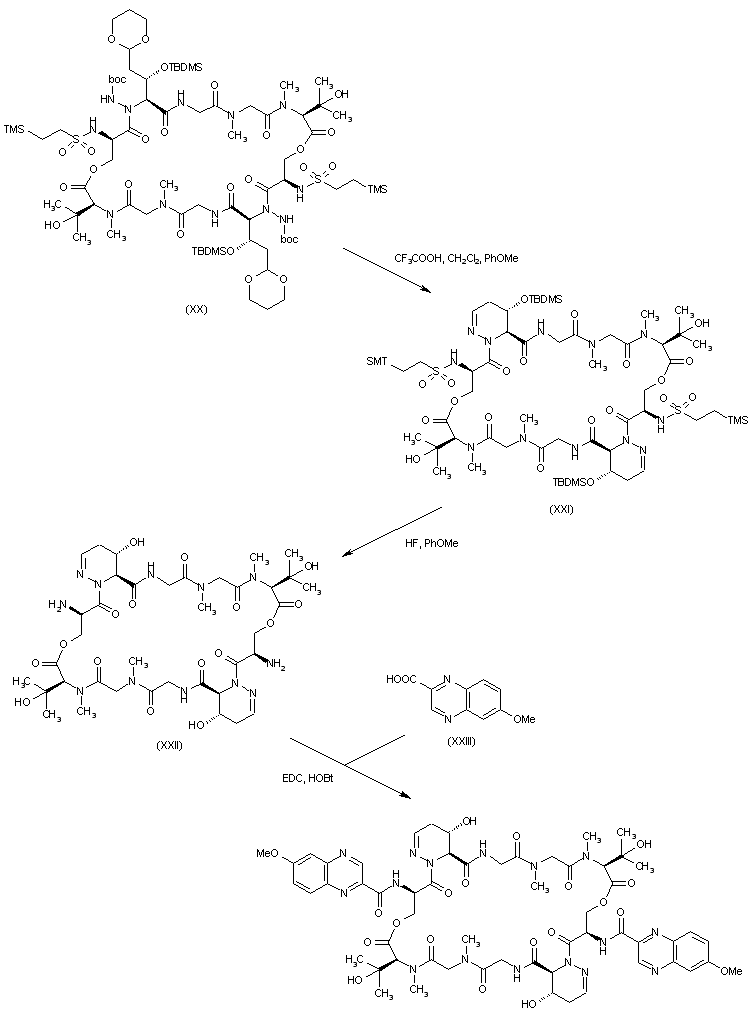
合成路线图解说明:

Trifluoroacetic acid promoted cleavage of the Boc groups and cyclic ketals of (XX), with concomitant cyclization of the resulting hydrazino aldehydes generated the bis(tetrahydropyridazine) derivative (XXI). The 2-(trimethylsilyl)ethylsulfonyl- and the tert-butyldimethylsilyl protecting groups of (XXI) were simultaneously cleaved by treatment with HF in the presence of anisole to give (XXII). Finally, coupling of (XXII) with 6-methoxyquinoxaline-2-carboxylic acid (XXIII) furnished the title compound.

参考文献No.569447
标题:Total synthesis of quinoxapeptin A-C: Establishement of absolute stereochemistry
作者:Boger, D.L.; et al.
来源:Angew Chem. Int Ed Engl 1999,38(16),2424
合成路线图解说明:

Trifluoroacetic acid promoted cleavage of the Boc groups and cyclic ketals of (XX), with concomitant cyclization of the resulting hydrazino aldehydes generated the bis(tetrahydropyridazine) derivative (XXI). The 2-(trimethylsilyl)ethylsulfonyl- and the tert-butyldimethylsilyl protecting groups of (XXI) were simultaneously cleaved by treatment with HF in the presence of anisole to give (XXII). Finally, coupling of (XXII) with 6-methoxyquinoxaline-2-carboxylic acid (XXIII) furnished the title compound.

Drug Information Express,Drug R&D,Chemical Database,Patent Search.
Copyright © 2006-2026 Drug Future. All rights reserved.Contact Us