| 参考文献No. | 560915 |
| 标题: | Synthesis and antiinflammatory activity of N-substituted 2-oxo-2H-1-benzopyran-3-carboxamides and their 2-iminoanalagues |
| 作者: | Bylov, I.E.; Vasylyev, M.V.; Bilokin, Y.V. |
| 来源: | Eur J Med Chem 1999,34(11),997 |
 |
| 合成路线图解说明: By cyclization of 2-hydroxybenzaldehyde (I) with 4-(cyanacetamido)benzoic acid ethyl ester (II) catalyzed by piperidine in ethanol. |
 |
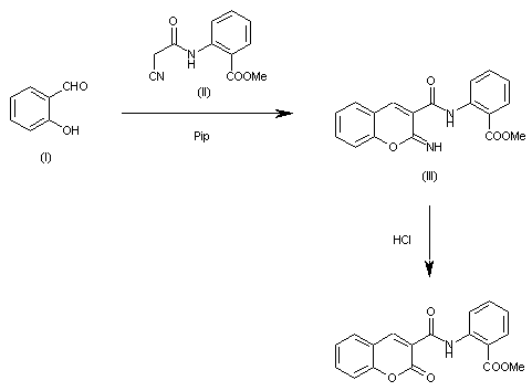
| 合成路线图解说明: The cyclization of 2-hydroxybenzaldehyde (I) with 2-(cyanacetamido)benzoic acid methyl ester (II) catalyzed by piperidine in ethanol gives the 2-imino-1-benzopyran (III), which is then hydrolyzed to the target benzopyranone with HCl in refluxing ethanol/water. |
 |
| 合成路线图解说明: The cyclization of 2-hydroxybenzaldehyde (I) with 4-(cyanacetamido)benzoic acid ethyl ester (II) catalyzed by piperidine in ethanol gives the 2-imino-1-benzopyran (III), which is then hydrolyzed to the target benzopyranone with HCl in refluxing ethanol/water. |
 |
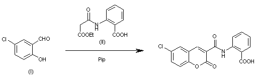
| 合成路线图解说明: By cyclization of 5-chloro-2-hydroxybenzaldehyde (I) with N-(2-carboxyphenyl) malonamic acid ethyl ester (II) catalyzed by piperidine in ethanol. |