【药物名称】
化学结构式(Chemical Structure):
参考文献No.560919
标题:Synthesis of oxypropanolamine derivatives of 3,4-dihydro-2H-1,4-benzoxazine, beta-adrenergic affinity, inotropic, chronotropic and coronary vasodilating activities
作者:Iakovou, K.; Kazanis, M.; Vavayannis, A.; Bruni, G.; Romeo, M.R.; Massarelli, P.; Teramoto, S.; Fujiki, H.; Mori, T.
来源:Eur J Med Chem 1999,34(11),903
合成路线图解说明:

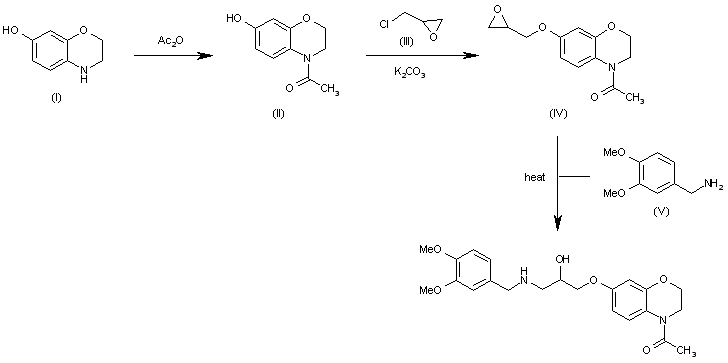
The acylation of 7-hydroxy-3,4-dihydro-2H-1,4-benzoxazine (I) with acetic anhydride gives the N-acetyl derivative (II), which is condensed with epichlorohydrin (III) by means of K2CO3 at 90-5 C yielding 4-acetyl-7-(2,3-epoxypropoxy)-3,4-dihydro-2H-1,4-benzoxazine (IV). Finally, the addition of 3,4-dimethoxybenzylamine (V) to the epoxy group of (IV) in hot isopropanol affords the target compound.

Drug Information Express,Drug R&D,Chemical Database,Patent Search.
Copyright © 2006-2026 Drug Future. All rights reserved.Contact Us