【药物名称】CKD-732
化学结构式(Chemical Structure):
参考文献No.41275
标题:Fumagillol derivs. and processes for preparing the same
作者:Chun, H.S.; Choi, N.S.; Lee, S.J.; Han, C.K.; Hong, C.I.; Hong, R.K.; Kim, J.W.; Moon, S.K.; Ahn, S.K. (Chong Kun Dang Corp.)
来源:US 6063812; WO 9959986
合成路线图解说明:

Treatment of 3,4,5-trimethoxycinnamic acid (I) with oxalyl chloride and pyridine produced acid chloride (II). This was then coupled with fumagillol (III), an hydrolyzed product of the fungal metabolite fumagillin, in the presence of NaH in THF to give the title trimethoxycinnamyl ester. Alternatively, fumagillol (III) was coupled with acid anhydride (IV) using DMAP in CH2Cl2.

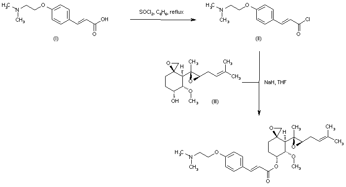
合成路线图解说明:

4-(2-Dimethylaminoethoxy)cinnamic acid (I) was converted to acid chloride (II) upon treatment with thionyl chloride in refluxing benzene. This was then coupled with the sodium alkoxide of fumagillol (III) in THF to furnish the title compound.

Drug Information Express,Drug R&D,Chemical Database,Patent Search.
Copyright © 2006-2026 Drug Future. All rights reserved.Contact Us