【药物名称】Lys-Spm, ORI-1202
化学结构式(Chemical Structure):
参考文献No.48347
标题:Novel polyamine analogues as therapeutic and diagnostic agents
作者:Burns, M.R.; O'Day, C.L.; Bergstrom, D.E.; Webb, H.K.; Vermeulin, N.M.J. (Oridigm Corp.)
来源:EP 1085011
合成路线图解说明:

Di-Boc-protected L-lysine p-nitrophenyl active ester (I) was coupled to spermine (II), yielding the primary amide (III) along with some by-products. The crude reaction mixture was fully protected using an excess of di-tert-butyl dicarbonate, and the desired compound (IV) was then isolated by column chromatography. Finally, the Boc-protecting groups of (IV) were removed by acidic treatment to provide the title spermine lysinamide.

参考文献No.637025
标题:Amino acid/spermine conjugates: Polyamine amides as potent spermidine uptake inhibitors
作者:Burns, M.R.; Carlson, C.L.; Vanderwerf, S.M.; Ziemer, J.R.; Weeks, R.S.; Cai, F.; Webb, H.K.; Graminski, G.F.
来源:J Med Chem 2001,44(22),3632
合成路线图解说明:

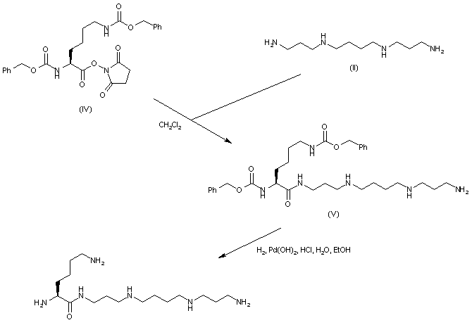
The N-hydroxysuccinimide ester of di-carbobenzyloxy-L-lysine (IV) was coupled to spermine (II), yielding amide (V). The N- carbobenzyloxy groups were then deprotected by catalytic hydrogenolysis in the presence of Pearlman抯 catalyst.

参考文献No.643552
标题:Novel lysine-spermine conjugate inhibits polyamine transport and inhibits cell growth when given with DFMO
作者:Weeks, R.S.; Vanderwerf, S.M.; Carlson, C.L.; Burns, M.R.; O'Day, C.L.; Cai, F.; Devens, B.H.; Webb, H.K.
来源:Exp Cell Res 2000,261(1),293
合成路线图解说明:

The N-hydroxysuccinimide ester of di-carbobenzyloxy-L-lysine (IV) was coupled to spermine (II), yielding amide (V). The N- carbobenzyloxy groups were then deprotected by catalytic hydrogenolysis in the presence of Pearlman抯 catalyst.

Drug Information Express,Drug R&D,Chemical Database,Patent Search.
Copyright © 2006-2026 Drug Future. All rights reserved.Contact Us