【药物名称】ME-3230
化学结构式(Chemical Structure):
参考文献No.29173
标题:Novel cpd. having platelet aggregation inhibitor effect
作者:Katano, K.; Ohuchi, S.; Miura, T.; Shitara, E.; Shimizu, M.; Yaegashi, K.; Ohkura, N.; Isomura, Y.; Iida, H.; Ishikawa, M.; Asai, K.; Hatsushiba, E. (Meiji Seika Kaisha, Ltd.)
来源:EP 0721941; US 5814636; WO 9602503
合成路线图解说明:

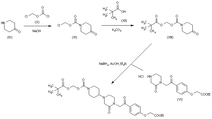
Treatment of 4-oxopiperidine (IX) with chloromethyl chloroformate (X) and NaOH in H2O/Et2O provides 4-oxopiperidine-1-carboxylic acid chloromethyl ester (XI), which is then condensed with pivalic acid (XII) in DMF in the presence of K2CO3 to furnish derivative (XIII). Finally, (XIII) is reductively condensed with intermediate (VI) by means of NaBH4, HOAc and Et3N in THF/EtOAc.

合成路线图解说明:

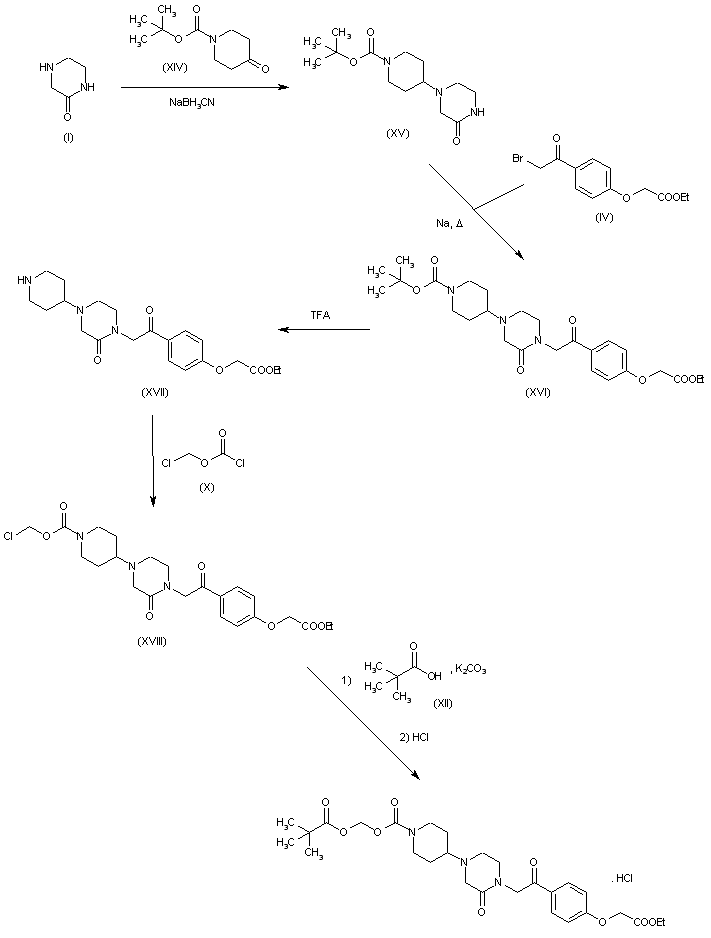
Reductive condensation of 2-oxopiperazine (I) with 4-oxopiperidine-1-carboxylic acid t-butyl ester (XIV) in the presence of sodium cyanoborohydride (NaBH3CN) in MeOH/EtOH-HCl yields derivative (XV), which is then coupled to bromo derivative (IV) by means of sodium in refluxing toluene to give compound (XVI). Deprotection of (XVI) by treatment with TFA and anisole provides piperidine derivative (XVII), which is then treated with chloromethyl chloroformate (X) and proton sponge in CH2Cl2 to furnish derivative (XVIII). Finally, (XVIII) is coupled to pivalic acid (XII) by means of K2CO3 in DMF and converted into the corresponding hydrochloride salt by treatment with HCl-EtOH in EtOAc.

参考文献No.40905
标题:Nitrogen-containing heterocyclic cpds. having antiplatelet aggregation effect and medicinal use thereof
作者:Ohuchi, S.; Suzuki, H.; Ando, T.; Katano, K.; Imai, T.; Kobayashi, K.; Ota, K.; Aizawa, K.; Miura, T. (Meiji Seika Kaisha, Ltd.)
来源:EP 1070712; WO 9952894
合成路线图解说明:

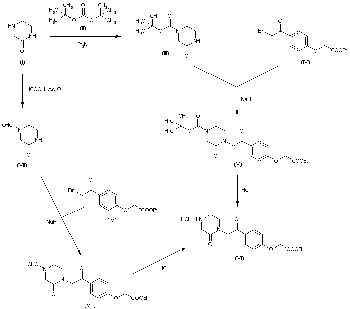
Synthesis of intermediate (VI): Treatment of 2-oxopiperazine (I) with di-t-butyl dicarbonate (II) and Et3N in DMF affords 1-t-butoxycarbonyl-3-oxopiperazine (III), which is then condensed with bromo derivative (IV) by means of NaH in THF, providing ethyl phenoxyacetate derivative (V). Treatment of (V) with HCl/EtOAc allows removal of the t-butyloxycarbonyl group, yielding intermediate (VI). Alternatively, intermediate (VI) can be obtained by first formylation of (I) with formic acid and acetic anhydride (Ac2O) in CH2Cl2 to afford derivative (VII), followed by condensation of (VII) with (IV) to give (VIII) by means of NaH in DMF/THF and deformylation by treatment with HCl/EtOAc to afford (VI).

合成路线图解说明:

Treatment of 4-oxopiperidine (IX) with chloromethyl chloroformate (X) and NaOH in H2O/Et2O provides 4-oxopiperidine-1-carboxylic acid chloromethyl ester (XI), which is then condensed with pivalic acid (XII) in DMF in the presence of K2CO3 to furnish derivative (XIII). Finally, (XIII) is reductively condensed with intermediate (VI) by means of NaBH4, HOAc and Et3N in THF/EtOAc.

合成路线图解说明:

Reductive condensation of 2-oxopiperazine (I) with 4-oxopiperidine-1-carboxylic acid t-butyl ester (XIV) in the presence of sodium cyanoborohydride (NaBH3CN) in MeOH/EtOH-HCl yields derivative (XV), which is then coupled to bromo derivative (IV) by means of sodium in refluxing toluene to give compound (XVI). Deprotection of (XVI) by treatment with TFA and anisole provides piperidine derivative (XVII), which is then treated with chloromethyl chloroformate (X) and proton sponge in CH2Cl2 to furnish derivative (XVIII). Finally, (XVIII) is coupled to pivalic acid (XII) by means of K2CO3 in DMF and converted into the corresponding hydrochloride salt by treatment with HCl-EtOH in EtOAc.

Drug Information Express,Drug R&D,Chemical Database,Patent Search.
Copyright © 2006-2026 Drug Future. All rights reserved.Contact Us