【药物名称】EGIS-9377
化学结构式(Chemical Structure):
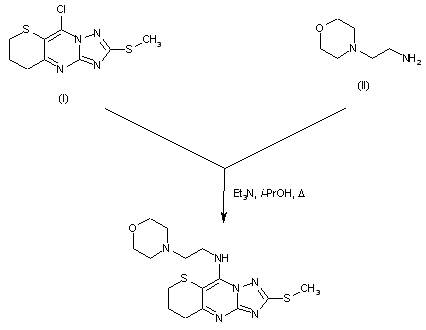
参考文献No.18876
标题:1,2,4-Triazolo[1,5-a]pyrimidine derivs.
作者:Reiter, J.; Berecz, G.; Zsila, G.; Petocz, L.; Gigler, G.; Fekete, M.; Sz隿sey, M.; Szirt, E.; Roh醕s, L.; G鰎g閚yl, F.; Cs鰎g? M. (Egis Pharmaceuticals Ltd.)
来源:EP 0500136; GB 2254611; JP 1993148267
合成路线图解说明:

The title compound was prepared by condensation of 5-chloro-2-(methylsulfanyl)-8,9-dihydro-7H-thiopyrano[3,2-d]-1,2,4-triazolo[1,5-a]pyrimidine (I) with N-(2-aminoethyl)morpholine (II) in the presence of Et3N in refluxing isopropanol.

Drug Information Express,Drug R&D,Chemical Database,Patent Search.
Copyright © 2006-2026 Drug Future. All rights reserved.Contact Us