【药物名称】JTV-803
化学结构式(Chemical Structure):
参考文献No.40906
标题:Amidine cpds.
作者:Hayashi, M.; Yokota, K.; Katoh, S. (Japan Tobacco Inc.)
来源:EP 1070714; JP 2000136190; WO 9952895
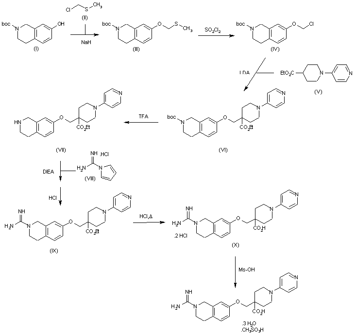
合成路线图解说明:

Treatment of protected hydroxy tetrahydroisoquinoline (I) with chloromethyl methyl sulfide (II) in DMF in the presence of NaH affords methylsulfanyl derivative (III), which is then converted into chloromethoxy compound (IV) by reaction with sulfuryl chloride in dichloromethane. Condensation of (IV) with piperidine derivative (V) by means of lithium diisopropylamide in THF provides compound (VI), whose Boc group is removed by means of TFA in CHCl3 to furnish deprotected tetrahydroisoquinolinic compound (VII). An amidinium group is then incorporated onto (VII) by reaction with 1H-pyrazole-1-carboxamidine hydrochloride (VIII) to give amidino derivative (IX), whose ethyl ester group is hydrolyzed by refluxing with HCl to afford carboxylic acid (X) as a dihydrochloride salt. Finally, the desired product is obtained by formation of the corresponding monomethanesulfonate trihydrate derivative by treatment with MsOH.

Drug Information Express,Drug R&D,Chemical Database,Patent Search.
Copyright © 2006-2026 Drug Future. All rights reserved.Contact Us