【药物名称】McN-A-343
化学结构式(Chemical Structure):
参考文献No.701363
标题:Ammoniumaliphatic esters of carbamic acids
作者:Hopkins, T.R.
来源:US 3100223
合成路线图解说明:

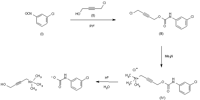
The reaction of m-chlorophenyl isocyanate (I) with 4-chloro-2-butyn-1-ol (II) gives 4-chloro-2-butynyl-N-(3-chlorophenyl)carbamate (III), which is treated with trimethylamine in benzene.

参考文献No.800444
标题:Unusual pressor agents: acetylenic carbamates
作者:Hopkins, T.R.; et al.
来源:J Org Chem 1962,27659-662
合成路线图解说明:

The reaction of m-chlorophenyl isocyanate (I) with 4-chloro-2-butyn-1-ol (II) gives 4-chloro-2-butynyl-N-(3-chlorophenyl)carbamate (III), which is treated with trimethylamine in benzene.

参考文献No.800445
标题:McN-A-343
作者:Casta馿r, J.; Blancafort, P.; Serradell, M.N.; Thorpe, P.J.
来源:Drugs Fut 1981,6(5),284
合成路线图解说明:

The reaction of m-chlorophenyl isocyanate (I) with 4-chloro-2-butyn-1-ol (II) gives 4-chloro-2-butynyl-N-(3-chlorophenyl)carbamate (III), which is treated with trimethylamine in benzene.

Drug Information Express,Drug R&D,Chemical Database,Patent Search.
Copyright © 2006-2026 Drug Future. All rights reserved.Contact Us