【药物名称】AT-1015
化学结构式(Chemical Structure):
参考文献No.28010
标题:Piperidine derivates and anti-platelet agents containing the same
作者:Makino, S.; Arisaka, H.; Yamamoto, H.; Shoji, M.; Yoshimoto, R. (Ajinomoto Co., Inc.)
来源:CA 2147429; EP 0682015; JP 1996003135; JP 1999246526; US 5932593
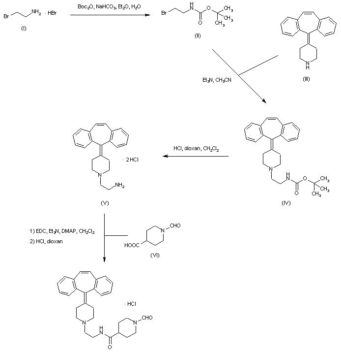
合成路线图解说明:

2-Bromoethylamine (I) was protected as the Boc derivative (II) and then condensed with dibenzocycloheptenylidenepiperidine (III) to afford (IV). Acid deprotection of the Boc group of (IV) provided diamine (V). This was then coupled with N-formyl isonipecotic acid (VI) employing EDC to produce the corresponding amide. The title compound was finally converted to the hydrochloride salt.

参考文献No.42659
标题:Crystals of piperidine derivs., intermediates for production of the same, and process for producing the same
作者:Yamamoto, T.; Asai, K.; Fujii, A.; Naora, H.; Kubo, M.; Mihara, R.; Shimada, J. (Ajinomoto Co., Inc.)
来源:EP 0770602
合成路线图解说明:

2-Bromoethylamine (I) was protected as the Boc derivative (II) and then condensed with dibenzocycloheptenylidenepiperidine (III) to afford (IV). Acid deprotection of the Boc group of (IV) provided diamine (V). This was then coupled with N-formyl isonipecotic acid (VI) employing EDC to produce the corresponding amide. The title compound was finally converted to the hydrochloride salt.

Drug Information Express,Drug R&D,Chemical Database,Patent Search.
Copyright © 2006-2026 Drug Future. All rights reserved.Contact Us