【药物名称】MR-20494
化学结构式(Chemical Structure):
参考文献No.554764
标题:MR 20492 and MR 20494: Two indolizinone derivatives that strongly inhibit human aromatase
作者:Auvray, P.; Sourdaine, P.; Moslemi, S.; S閞alini, G.-E.; Sonnet, P.; Enguehard, C.; Guillon, J.; Dallemagne, P.; Bureau, R.; Rault, S.
来源:J Steroid Biochem Mol Biol 1999,70(1-3),59
合成路线图解说明:

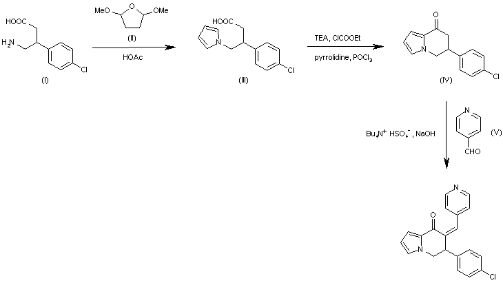
The cyclization of the amino group of 4-amino-3-(4-chlorophenyl)butyric acid (I) with 2,5-dimethoxytetrahydrofuran (II) by means of AcOH in THF gives the corresponding pyrrole (III), which is cyclized by means of TEA, ClCOOEt, pyrrolidine and POCl3 in toluene yielding the pyrrolopyridone (IV). Finally, this compound is condensed with pyridine-4-carbaldehyde (V) by means of tetrabutylammonium bisulfate and NaOH in water.

合成路线图解说明:

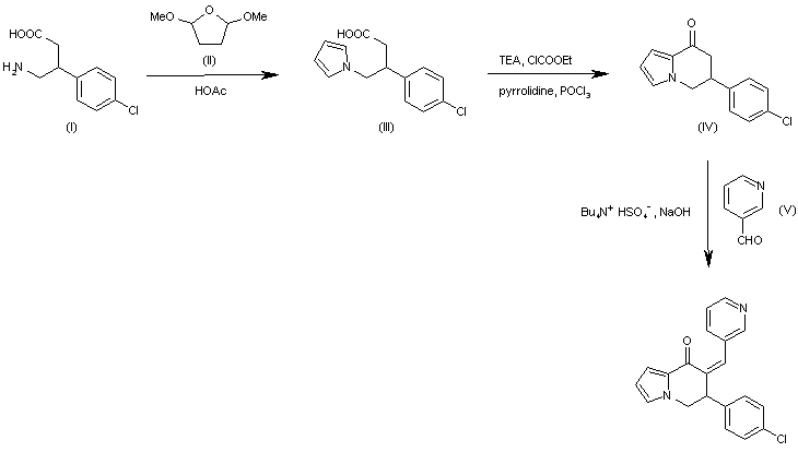
The cyclization of the amino group of 4-amino-3-(4-chlorophenyl)butyric acid (I) with 2,5-dimethoxytetrahydrofuran (II) by means of AcOH in THF gives the corresponding pyrrole (III), which is cyclized by means of TEA, ClCOOEt, pyrrolidine and POCl3 in toluene yielding the pyrrolopyridone (IV). Finally, this compound is condensed with pyridine-3-carbaldehyde (V) by means of tetrabutylammonium bisulfate and NaOH in water.

Drug Information Express,Drug R&D,Chemical Database,Patent Search.
Copyright © 2006-2026 Drug Future. All rights reserved.Contact Us