【药物名称】
化学结构式(Chemical Structure):
参考文献No.26131
标题:Glycoprotein IIb/IIIa antagonists
作者:Fisher, M.J.; Happ, A.M.; Jakubowski, J.A.; Kinnick, M.D.; Kline, A.D.; Morin, J.M. Jr.; Sall, D.J.; Skelton, M.A.; Vasileff, R.T. (Eli Lilly and Company)
来源:CA 2128348; EP 0635492; JP 1996188564; US 5618843
合成路线图解说明:

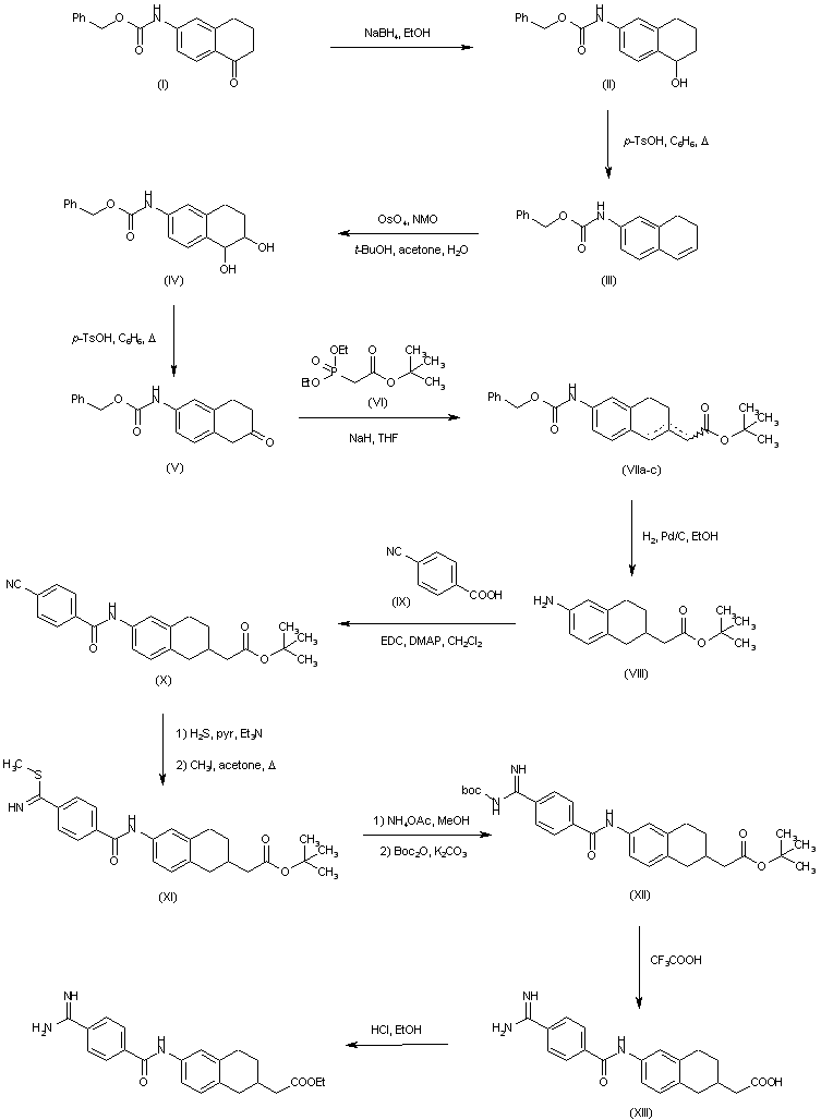
Tetralone (I) was reduced with NaBH4 and the resulting alcohol (II) was dehydrated with p-TsOH in refluxing toluene to yield the dihydronaphthalene (III). Oxidation of (III) with N-methylmorpholine N-oxide and OsO4 produced diol (IV), which was converted to the 2-tetralone (V) by acid-catalyzed rearrangement. The unstable tetralone (V) was condensed with the sodium salt of tert-butyl diethyl phosphonoacetate (VI) providing a mixture of olefin isomers (VII). Catalytic hydrogenation of the olefin (VIIa-c) with simultaneous removal of the carbobenzoxy group furnished the aminotetralin (VIII). This was coupled with 4-cyanobenzoic acid (IX) using EDC to give amide (X). Addition of H2S to the nitrile group of (X), followed by S-methylation provided (XI). Then, displacement of the methylthio group of (XI) by ammonium acetate and further treatment with di-tert-butyl dicarbonate yielded the Boc-protected benzamidine (XII). Deprotection with trifluoroacetic acid produced the amidino acid (XIII), which was finally esterified with EtOH and HCl.

参考文献No.30584
标题:Glycoprotein IIb/IIIa antagonists
作者:Fisher, M.J.; Jakubowski, J.A.; Martinelli, M.J.; Morin, J.M. Jr.; Paal, M.; Ruhter, G.; Ruterbories, K.J.; Schotten, T.; Stenzel, W.; Vasileff, R.T. (Eli Lilly and Company)
来源:EP 0804431; JP 1999502194; WO 9622288
合成路线图解说明:

Tetralone (I) was reduced with NaBH4 and the resulting alcohol (II) was dehydrated with p-TsOH in refluxing toluene to yield the dihydronaphthalene (III). Oxidation of (III) with N-methylmorpholine N-oxide and OsO4 produced diol (IV), which was converted to the 2-tetralone (V) by acid-catalyzed rearrangement. The unstable tetralone (V) was condensed with the sodium salt of tert-butyl diethyl phosphonoacetate (VI) providing a mixture of olefin isomers (VII). Catalytic hydrogenation of the olefin (VIIa-c) with simultaneous removal of the carbobenzoxy group furnished the aminotetralin (VIII). This was coupled with 4-cyanobenzoic acid (IX) using EDC to give amide (X). Addition of H2S to the nitrile group of (X), followed by S-methylation provided (XI). Then, displacement of the methylthio group of (XI) by ammonium acetate and further treatment with di-tert-butyl dicarbonate yielded the Boc-protected benzamidine (XII). Deprotection with trifluoroacetic acid produced the amidino acid (XIII), which was finally esterified with EtOH and HCl.

参考文献No.559169
标题:Fused bicyclic Gly-Asp beta-turn mimics with specific affinity for GPIIb-IIIa
作者:Fisher, M.J.; Arfstan, A.E.; Giese, U.; Gunn, B.P.; Harms, C.S.; Khau, V.; Kinnick, M.D.; Lindstrom, T.D.; Martinelli, M.J.; Mest, H.J.; Mohr, M.; Morin, J.M. Jr.; Mullaney, J.T.; Nunes, A.; Paal, M.; Rapp, A.; Ruhter, G.; Ruterbories, K.J.; et al.
来源:J Med Chem 1999,42(23),4875
合成路线图解说明:

Tetralone (I) was reduced with NaBH4 and the resulting alcohol (II) was dehydrated with p-TsOH in refluxing toluene to yield the dihydronaphthalene (III). Oxidation of (III) with N-methylmorpholine N-oxide and OsO4 produced diol (IV), which was converted to the 2-tetralone (V) by acid-catalyzed rearrangement. The unstable tetralone (V) was condensed with the sodium salt of tert-butyl diethyl phosphonoacetate (VI) providing a mixture of olefin isomers (VII). Catalytic hydrogenation of the olefin (VIIa-c) with simultaneous removal of the carbobenzoxy group furnished the aminotetralin (VIII). This was coupled with 4-cyanobenzoic acid (IX) using EDC to give amide (X). Addition of H2S to the nitrile group of (X), followed by S-methylation provided (XI). Then, displacement of the methylthio group of (XI) by ammonium acetate and further treatment with di-tert-butyl dicarbonate yielded the Boc-protected benzamidine (XII). Deprotection with trifluoroacetic acid produced the amidino acid (XIII), which was finally esterified with EtOH and HCl.

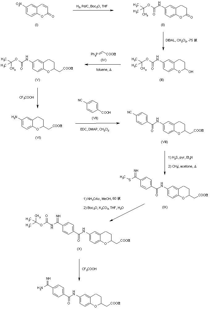
合成路线图解说明:

Hydrogenation of 6-nitrocoumarin (I) in the presence of Pd/C and di-tert-butyl dicarbonate provided (II). Partial reduction of the lactone function of (II) with DIBAL at low temperature gave rise to lactol (III), which was submitted to a Wittig condensation with (ethoxycarbonyl)triphenylphosphorane (IV) yielding chromaneacetic acid ethyl ester (V). The Boc protecting group of (V) was then removed with trifluoroacetic acid to afford aniline (VI), which was acylated with 4-cyanobenzoic acid (VII) in the presence of EDC to give amide (VIII). Addition of H2S to the nitrile group of (VIII), followed by S-methylation provided (IX). Then, displacement of the methylthio group of (IX) by ammonium acetate and further treatment with di-tert-butyl dicarbonate yielded the Boc-protected benzamidine (X). Finally, Boc-deprotection with trifluoroacetic acid furnished the title amidino ester.

Drug Information Express,Drug R&D,Chemical Database,Patent Search.
Copyright © 2006-2026 Drug Future. All rights reserved.Contact Us