【药物名称】
化学结构式(Chemical Structure):
参考文献No.559164
标题:PDB-093
作者:Henry, K.J. Jr.; Wasicak, J.; Tasker, A.S.; Cohen, J.; Ewing, P.; Mitten, M.; Larsen, J.J.; Kalvin, D.M.; Swenson, R.; Ng, S.C.; Saeed, B.; Cherian, S.; Sham, H.; Rosenberg, S.H.
来源:Drug Data Rep 1995,17(2),138
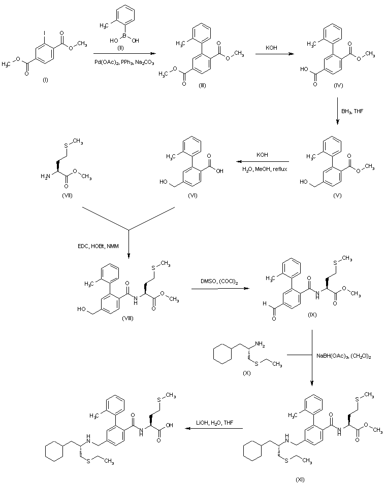
合成路线图解说明:

Palladium-catalyzed coupling of dimethyl iodoterephthalate (I) with 2-methylphenylboronic acid (II) furnished the biphenyl derivative (III). Regioselective ester hydrolysis of (III) under controlled conditions provided the mono acid (IV), which was further reduced to alcohol (V) using borane in THF. After hydrolysis of the remaining ester function of (V), the resulting carboxylic acid (VI) was coupled to L-methionine methyl ester (VII), yielding amide (VIII). Swern oxidation of the alcohol function of (VIII) gave aldehyde (IX). This was then subjected to a reductive amination with amine (X) in the presence of NaBH(OAc)3 to afford the secondary amine (XI). The methyl ester group of (XI) was finally hydrolyzed with LiOH.

Drug Information Express,Drug R&D,Chemical Database,Patent Search.
Copyright © 2006-2026 Drug Future. All rights reserved.Contact Us