【药物名称】Crobenetine hydrochloride, BIII-890-CL
化学结构式(Chemical Structure):
参考文献No.38827
标题:Substd. 1,2,3,4,5,6-hexahydro-2,6-methano-3-benzazocine-10-oles, method for the production and use thereof as medicaments
作者:Weiser, T.; Bechtel, W.-D.; Palluk, R.; Pschorn, U.; Carter, A.; Grauert, M. (Boehringer Ingelheim Pharma KG)
来源:EP 1015433; WO 9914199
合成路线图解说明:

The known benzomorphan (I) was acylated with O-benzyl-L-lactic acid chloride (II) in the presence of N-methylmorpholine to afford amide (III). Reduction of (III) with LiAlH4 produced the corresponding amine, which was finally isolated as the hydrochloride salt.

参考文献No.685855
标题:Synthesis and structure-activity relationships of 6,7-benzomorphan derivatives as use-dependent sodium channel blockers for the treatment of stroke
作者:Grauert, M.; Bechtel, W.D.; Weiser, T.; Stransky, W.; Nar, H.; Carter, A.J.
来源:J Med Chem 2002,45(17),3755
合成路线图解说明:

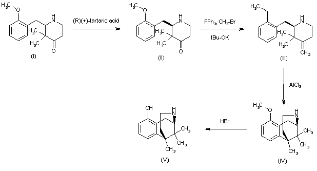
The optical resolution of 2-(2-methoxybenzyl)-3,3-dimethylpiperidin-4-one (I) by means of (R)(+)-tartaric acid gives the (R)-isomer (II), which is treated with PPh3 a, CH3Br and tBu-OK in THF to yield the exomethylene compound (III). The cyclization of (III) by means of AlCl3 in dichloromethane affords the methoxylated benzomorphan (IV), which is finally demethylated by means of HBr in the usual way to provide the target hydroxy benzomorphan (V) (see scheme no. 28316901a, intermediate no. (I)).

Drug Information Express,Drug R&D,Chemical Database,Patent Search.
Copyright © 2006-2026 Drug Future. All rights reserved.Contact Us