【药物名称】Olmesartan hydrate, DE-092, CS-088
化学结构式(Chemical Structure):
参考文献No.18768
标题:Angiotensin II antagonist 1-biphenylmethylimidazole cpds. and their therapeutic use
作者:Yanagisawa, H.; Shimoji, Y.; Fujimoto, K.; Kanazaki, T.; Anemiya, Y.; Koike, H.; Sada, T. (Sankyo Co., Ltd.)
来源:EP 0503785; EP 0545912; JP 1993078328; US 5616599
合成路线图解说明:

The cyclization of trimethyl orthobutyrate (I) with (Z)-2,3-diaminobutenedinitrile (II) gives 2-propylimidazole-4,5-dicarbonitrile (III), which is hydrolyzed with 6N HCl to the corresponding dicarboxylic acid (IV). The esterification of (IV) with ethanol/dry HCl yields the diethyl ester (V), which is treated with methylmagnesium iodide in ethyl ether/dichloromethane affording 4-(1-hydroxy-1-methylethyl)-2-propylimidazole-5-carboxylic acid ethyl ester (VI). The condensation of (VI) with 5-[4'-(bromomethyl)biphenyl-2-yl]-1-(triphenylmethyl)tetrazole (VII) by means of potassium tert-butoxide in dimethylacetamide (DMA) (1) or sodium hydride in DMF (2) gives 4-(1-hydroxy-1-methylethyl)-2-propyl-1-[2'-[1-(triphenylmethyl)-5-tetrazolyl]biphenyl-4-ylmethyl]imidazole-5-carboxylic acid ethyl ester (VIII), which is hydrolyzed with LiOH in dioxane/water to the corresponding free acid (IX). The esterification of (IX) with the chloromethyldioxole (X) by means of K2CO3 in DMA gives the desired ester (XI), which is finally deprotected with aqueous acetic acid.

合成路线图解说明:

2) The hydrolysis of 4-(1-hydroxy-1-methylethyl)-2-propylimidazole-5-carboxylic acid ethyl ester (VI) with LiOH in water gives the corresponding free acid (XII), which is esterified with the chloromethyldioxole (X) by means of diisopropylethylamine (DIEA) yielding the expected ester (XIII). Finally, this compound is condensed with 5-[4-'(bromomethyl)biphenyl-2-yl]-1-(triphenylmethyl)tetrazole (VII) by means of potassium carbonate in DMA to afford the protected CS-866 (XI) already obtained.

合成路线图解说明:

Condensation of diaminomaleonitrile (I) with trimethyl orthobutyrate (II) produced the imino ether (III), which was further cyclized to imidazole (IV) upon heating in xylene. Acid hydrolysis of the imidazole dinitrile (IV) led to diacid (V), and subsequent Fischer esterification with ethanolic HCl provided diester (VI). Regioselective addition of methylmagnesium bromide to diester (VI) furnished the imidazole carbinol (VII). Alkylation of imidazole (VII) with the biphenyl bromide (VIII) furnished the (biphenylylmethyl)imidazole (IX). Then, removal of the trityl protecting group of (IX) under acidic conditions, followed by alkaline ester hydrolysis gave rise to the title compound.

参考文献No.58300
标题:Process for preparation of 5-substd. tetrazoles
作者:Koguro, K.; Oga, T.; Tokunaga, N.; Mitsui, S.; Orita, R. (Tokyo Kasei Kogyo Co., Ltd.)
来源:EP 0796852
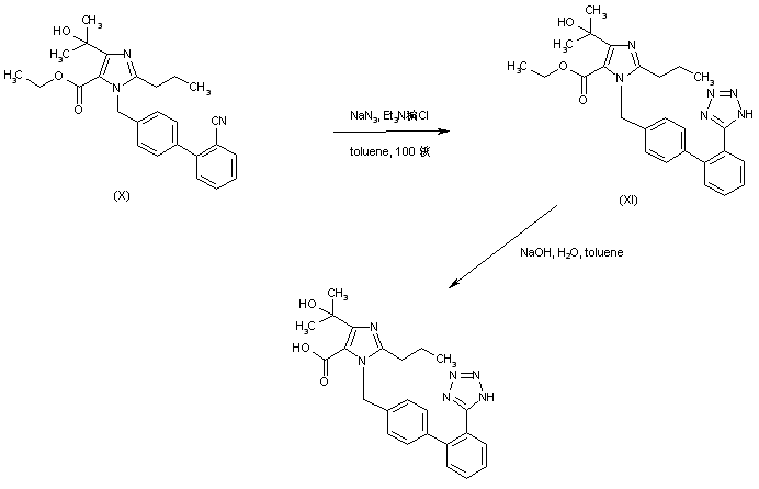
合成路线图解说明:

In a further patented method, the biphenylyl nitrile (X) was converted to tetrazole (XI) by dipolar cycloaddition with sodium azide in the presence of triethylammonium chloride. Subsequent basic hydrolysis of the ethyl ester function of (XI) yielded the corresponding carboxylic acid.

Drug Information Express,Drug R&D,Chemical Database,Patent Search.
Copyright © 2006-2026 Drug Future. All rights reserved.Contact Us