【药物名称】BRL-6231(hydrochloride), BRL-51084, WR-99210(free base)
化学结构式(Chemical Structure):
参考文献No.47466
标题:Di-hydro triazine derivatives and processes for their manufacture
作者:Mamalis, P.; Outred, D.I. (SmithKline Beecham plc)
来源:DE 1957769; ES 373657; FR 2023866; GB 1270831
合成路线图解说明:

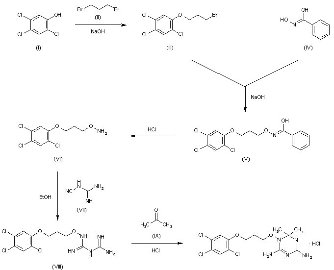
The reaction of 2,4,5-trichlorophenol (I) with 1,3-dibromopropane (II) by means of refluxing 25% aqueous NaOH gives 3-(2,4,5-trichlorophenoxy)propyl bromide (III), which is condensed with benzhydroxamic acid (IV) by means of NaOH in refluxing methanol yielding 3-(2,4,5-trichlorophenoxy)propyl benzhydroxamate (V). The hydrolysis of (V) with HCl in refluxing methanol affords 3-(2,4,5-trichlorophenoxy)propyloxyamine (VI), which is then condensed with dicyandiamide (VII) in refluxing ethanol to give 3'-(2,4,5-trichlorophenoxy)propyloxydiguanide (VIII). Finally, this compound is cyclized with acetone (IX) by means of HCl.

参考文献No.800419
标题:BRL-6231
作者:Casta馿r, J.; Thorpe, P.J.; Blancafort, P.; Serradell, M.N.
来源:Drugs Fut 1982,7(10),724
合成路线图解说明:

The reaction of 2,4,5-trichlorophenol (I) with 1,3-dibromopropane (II) by means of refluxing 25% aqueous NaOH gives 3-(2,4,5-trichlorophenoxy)propyl bromide (III), which is condensed with benzhydroxamic acid (IV) by means of NaOH in refluxing methanol yielding 3-(2,4,5-trichlorophenoxy)propyl benzhydroxamate (V). The hydrolysis of (V) with HCl in refluxing methanol affords 3-(2,4,5-trichlorophenoxy)propyloxyamine (VI), which is then condensed with dicyandiamide (VII) in refluxing ethanol to give 3'-(2,4,5-trichlorophenoxy)propyloxydiguanide (VIII). Finally, this compound is cyclized with acetone (IX) by means of HCl.

Drug Information Express,Drug R&D,Chemical Database,Patent Search.
Copyright © 2006-2026 Drug Future. All rights reserved.Contact Us