【药物名称】Cinoxacin, Cinobac
化学结构式(Chemical Structure):
参考文献No.701499
标题:Un m閠odo para la preparaci髇 de 醕idos 6,7-metilendioxi-4(1H)-oxocinnolin-3-carbox韑icos
作者:
来源:ES 376173; ES 402312
合成路线图解说明:

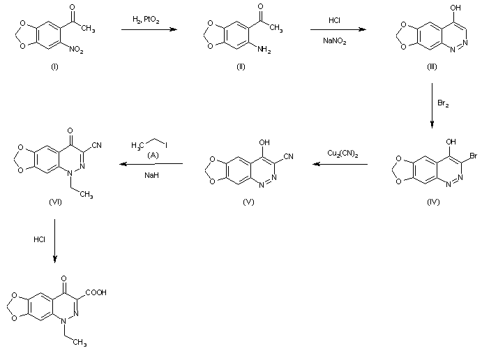
The reduction of 2-nitro-4,5-methylenedioxyacetophenone (I) with H2 over PtO2 in ethanol gives 2-amino-4,5-methylenedioxyacetophenone (II), which is cyclized by treatment with NaNO2 and HCl in water yielding 6,7-methylenedioxycinnolin-4-ol (III). The bromination of (III) with Br2 and potassium acetate in refluxing acetic acid affords 3-bromo-6,7-methylenedioxycinnolin-4-ol (IV), which is treated with Cu2(CN)2 in refluxing DMF giving 4-hydroxy-6,7-methylenedioxycinnolin-3-carbonitrile (V). Alkylation of (V) with ethyl iodide (A) by means of NaH in DMF affords 1-ethyl-6,7-methylenedioxy-4(1H)-oxocinnolin-3-carbonitrile (VI), which is finally hydrolyzed with HCl in refluxing acetic acid.

参考文献No.800547
标题:Cinoxacin
作者:Roberts, P.J.; Casta馿r, J.
来源:Drugs Fut 1978,3(1),22
合成路线图解说明:

The reduction of 2-nitro-4,5-methylenedioxyacetophenone (I) with H2 over PtO2 in ethanol gives 2-amino-4,5-methylenedioxyacetophenone (II), which is cyclized by treatment with NaNO2 and HCl in water yielding 6,7-methylenedioxycinnolin-4-ol (III). The bromination of (III) with Br2 and potassium acetate in refluxing acetic acid affords 3-bromo-6,7-methylenedioxycinnolin-4-ol (IV), which is treated with Cu2(CN)2 in refluxing DMF giving 4-hydroxy-6,7-methylenedioxycinnolin-3-carbonitrile (V). Alkylation of (V) with ethyl iodide (A) by means of NaH in DMF affords 1-ethyl-6,7-methylenedioxy-4(1H)-oxocinnolin-3-carbonitrile (VI), which is finally hydrolyzed with HCl in refluxing acetic acid.

参考文献No.800548
标题:1-niederalkyl- oder -alkylensubstituierte 6,7-Methylendioxyd-4(1H)-oxocinnolin-3-carbos鋟ren und Zwiswhenprodukte daf黵
作者:Maas, I.M. Pfeiffer, W.G.; Voithenleitner, F.
来源:DE 2005104; FR 2034519; GB 1296753; GB 1296754
合成路线图解说明:

The reduction of 2-nitro-4,5-methylenedioxyacetophenone (I) with H2 over PtO2 in ethanol gives 2-amino-4,5-methylenedioxyacetophenone (II), which is cyclized by treatment with NaNO2 and HCl in water yielding 6,7-methylenedioxycinnolin-4-ol (III). The bromination of (III) with Br2 and potassium acetate in refluxing acetic acid affords 3-bromo-6,7-methylenedioxycinnolin-4-ol (IV), which is treated with Cu2(CN)2 in refluxing DMF giving 4-hydroxy-6,7-methylenedioxycinnolin-3-carbonitrile (V). Alkylation of (V) with ethyl iodide (A) by means of NaH in DMF affords 1-ethyl-6,7-methylenedioxy-4(1H)-oxocinnolin-3-carbonitrile (VI), which is finally hydrolyzed with HCl in refluxing acetic acid.

Drug Information Express,Drug R&D,Chemical Database,Patent Search.
Copyright © 2006-2026 Drug Future. All rights reserved.Contact Us