【药物名称】Ganstigmine hydrochloride, CHF-2819
化学结构式(Chemical Structure):
参考文献No.41373
标题:A process for the preparation of aminocarbonyl derivs. of geneseroline having selective brain anticholinesterase activity
作者:Ventura, P.; Pighi, R.; Servadio, V.; Pietra, C.; Amari, G.; Salsi, B.; Pivetti, F.; Delcanale, M.; Chiesi, P.; Villetti, G. (Chiesi Farmaceutici SpA)
来源:WO 9919329
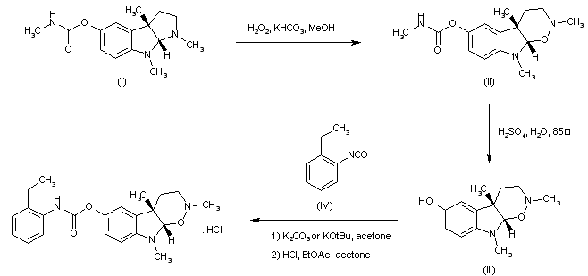
合成路线图解说明:

The oxidation of eserine (I) by means of H2O2 and KHCO3 produced the geneseroline carbamate (II), which was hydrolyzed to geneseroline (III) employing 62% sulfuric acid at 85 C. The desired carbamate was then obtained by condensation of (III) with 2-ethylphenyl isocyanate (IV) either in the presence of K2CO3 in acetone or in the presence of t-BuOK under sonication, and the title compound was then isolated as the corresponding hydrochloride salt.

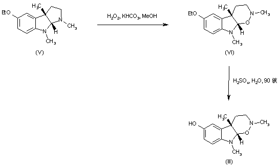
合成路线图解说明:

An alternative procedure for the preparation of the intermediate geneseroline (III) consisted in the oxidation of eseretole (V) to geneseretole (VI), followed by ether cleavage by means of concentrated sulfuric acid.

参考文献No.685857
标题:Anticholinesterase activity of compounds related to geneserine tautomers. N-Oxides and 1,2-oxazines
作者:Yu, Q.-S.; Zhu, X.; Holloway, H.W.; Whittaker, N.F.; Brossi, A.; Greig, N.H.
来源:J Med Chem 2002,45(17),3684
合成路线图解说明:

The reaction of 2'-ethylphenserine (I) with MCPBA in chloroform gives the intermediate (II), which is treated in basic medium to yield the target geneserine derivative.

Drug Information Express,Drug R&D,Chemical Database,Patent Search.
Copyright © 2006-2026 Drug Future. All rights reserved.Contact Us