【药物名称】
化学结构式(Chemical Structure):
参考文献No.559205
标题:Synthesis and pharmacology of site-specific cocaine abuse treatment agents: The role of the phenyl group in highly modified methylphenidate analogs as dopamine uptake inhibitors
作者:Dunn, T.; Deutsch, H.M.; Schweri, M.M.; Ye, X.
来源:Med Chem Res 1999,9(4),213
合成路线图解说明:

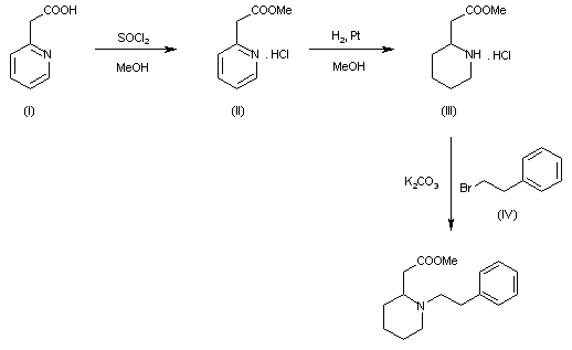
2-Pyridyl acetic acid (I) is converted into its methyl ester derivative (II) by means of SOCl2 in MeOH and then vigorously hydrogenated over Pt in MeOH to afford 2-(2-piperidyl)acetic acid methyl (III). Finally, piperidine ester derivative (III) is alkylated on nitrogen with 2-phenylethylbromide (IV) in DMF in the presence of K2CO3.

Drug Information Express,Drug R&D,Chemical Database,Patent Search.
Copyright © 2006-2026 Drug Future. All rights reserved.Contact Us