【药物名称】
化学结构式(Chemical Structure):
参考文献No.558184
标题:Synthesis and structure-activity relationship of inhibitor on smooth muscle cell proliferation induced by PDGF
作者:Hayashi, H.; Goto, Y.; Isobe, Y.; Misawa, S.; Ogita, H.; Sekine, R.; Takaku, H.
来源:19th Symp Med Chem (Nov 17 1999, Tokyo) 1999,Abst 1P-03
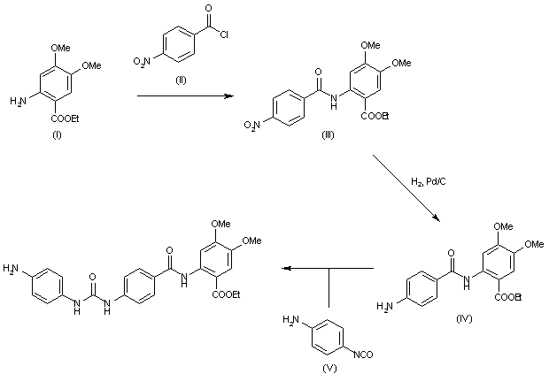
合成路线图解说明:

Treatment of substituted aminobenzoate (I) with 4-nitrobenzoyl chloride (II) affords amide (III), whose nitro group is converted into an amino group by hydrogenation over Pd/C, providing compound (IV). Finally, reaction of aniline (IV) with isocyanate (V) furnishes the target product.

Drug Information Express,Drug R&D,Chemical Database,Patent Search.
Copyright © 2006-2026 Drug Future. All rights reserved.Contact Us