【药物名称】J-113863
化学结构式(Chemical Structure):
参考文献No.35685
标题:Chemokine receptor antagonists
作者:Naya, A.; Owada, Y.; Saeki, T.; Ohwaki, K.; Iwasawa, Y. (Banyu Pharmaceutical Co., Ltd.)
来源:EP 0916668; WO 9804554
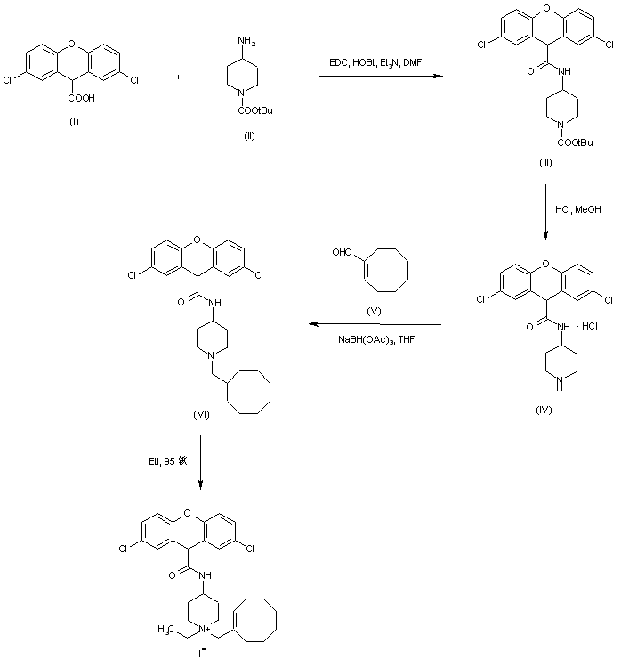
合成路线图解说明:

Coupling between 2,7-dichloroxanthene-9-carboxylic acid (I) and 4-amino-1-tert-butoxycarbonylpiperidine (II) in the presence of EDC and HOBt afforded amide (III). After acidic cleavage of the Boc protecting group of (III), the resulting amine (IV) was reductively condensed with 1-cyclooctene carbaldehyde (V) by means of NaBH(OAc)3 to yield the cyclooctenylmethyl amine (VI). Subsequent alkylation of the tertiary amine (VI) with iodoethane gave rise to the target ammonium salt. Separation of the geometric isomers was carried out by column chromatography.

参考文献No.609009
标题:J-113863
作者:Saeki, T.; Naya, A.
来源:Drugs Fut 2001,26(2),121
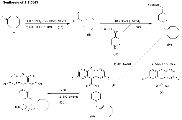
合成路线图解说明:

Cyclooctanone tosylhydrazone was treated with n-BuLi and subsequently reacted with DMF to afford (II). Compound (III) was prepared from 4-tert-butoxycarbonylpiperidine by reductive alkylation with (II). Deprotection of (III) and condensation with 2,7-dichloroxanthen-9-carboxylic acid (IV) using 1,1'-carbonyldiimidazole (CDI) afforded (V). Compound (V) was quaternarized with iodoethane to provide a quaternary ammonium derivative as a mixture of two isomers (cis and trans) attributed to the 4-substituted piperidinium structure in a ratio of 2:1. Finally, the mixture was separated by silica gel column chromatography to give a major isomer, J-113863.

参考文献No.616018
标题:Design, synthesis, and discovery of a novel CCR1 antagonist
作者:Naya, A.; Sagara, Y.; Ohwaki, K.; Saeki, T.; Ichikawa, D.; Iwasawa, Y.; Noguchi, K.; Ohtake, N.
来源:J Med Chem 2001,44(9),1429
合成路线图解说明:

Coupling between 2,7-dichloroxanthene-9-carboxylic acid (I) and 4-amino-1-tert-butoxycarbonylpiperidine (II) in the presence of EDC and HOBt afforded amide (III). After acidic cleavage of the Boc protecting group of (III), the resulting amine (IV) was reductively condensed with 1-cyclooctene carbaldehyde (V) by means of NaBH(OAc)3 to yield the cyclooctenylmethyl amine (VI). Subsequent alkylation of the tertiary amine (VI) with iodoethane gave rise to the target ammonium salt. Separation of the geometric isomers was carried out by column chromatography.

合成路线图解说明:

Cyclooctanone tosylhydrazone was treated with n-BuLi and subsequently reacted with DMF to afford (II). Compound (III) was prepared from 4-tert-butoxycarbonylpiperidine by reductive alkylation with (II). Deprotection of (III) and condensation with 2,7-dichloroxanthen-9-carboxylic acid (IV) using 1,1'-carbonyldiimidazole (CDI) afforded (V). Compound (V) was quaternarized with iodoethane to provide a quaternary ammonium derivative as a mixture of two isomers (cis and trans) attributed to the 4-substituted piperidinium structure in a ratio of 2:1. Finally, the mixture was separated by silica gel column chromatography to give a major isomer, J-113863.

Drug Information Express,Drug R&D,Chemical Database,Patent Search.
Copyright © 2006-2026 Drug Future. All rights reserved.Contact Us