【药物名称】OT-7999
化学结构式(Chemical Structure):
参考文献No.40826
标题:Triazolopurine derivs, medicinal compsn. containing the derivs., adenosine A3 receptor compatibilizing agent, and asthmatic remedy
作者:Kurogi, Y.; Nishikawa, H.; Okamura, T. (Otsuka Pharmaceutical Co., Ltd.)
来源:EP 1069126; US 6288070; WO 9951606
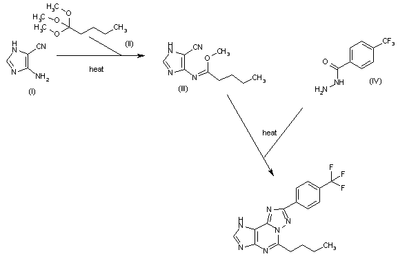
合成路线图解说明:

The reaction of 4-amino-1H-imidazole-5-carbonitrile (I) with trimethyl orthopentanoate (II) in hot DMF gives methyl N-(5-cyano-1H-imidazol-4-yl)pentanoimidate (III), which is then cyclized with benzoic hydrazide (IV) in hot DMF to yield the target triazolo-purine derivative.

Drug Information Express,Drug R&D,Chemical Database,Patent Search.
Copyright © 2006-2026 Drug Future. All rights reserved.Contact Us